建议使用浏览器Chrome, QQ浏览器
登录/注册
首页 目录 资料 实验室 电子课本 人教版 苏教版 鄂教版 留言反馈 排行榜 课件下载
高中数学《3.2 组合数及其性质》微课精讲+知识点+教案课件+习题 2021-07-30 16:54:31

语文

数学

英语

物理

化学

生物

史地

政治

道德与法治

美术

音乐

科学全部课程 ↓

知识点:

组合数:

从n个不同元素中取出m(m≤n)个元素的所有不同组合的个数,叫做从n个不同元素中取出m个元素的组合数,记

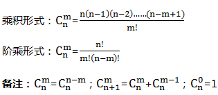
公式:


视频教学:



练习:

1.某校开设A类选修课3门,B类选修课4门,一位同学从中共选3门.若要求两类课程中各至少选一门,则不同的选法共有(  )

A.30种   B.35种   C.42种   D.48种

2.甲组有5名男同学、3名女同学;乙组有6名男同学、2名女同学.若从甲、乙两组中各选出2名同学,则选出的4人中恰有1名女同学的不同选法共有(  )

A.150种   B.180种   C.300种   D.345种

3.(2010年高考大纲全国卷)将标号为1,2,3,4,5,6的6张卡片放入3个不同的信封中,若每个信封放2张,其中标号为1,2的卡片放入同一信封,则不同的放法共有(  )

A.12种    B.18种   C.36种    D.54种

4.从5名男医生、4名女医生中选3名医生组成一个医疗小分队,要求其中男、女医生都有,则不同的组队方案共有(  )

A.70种    B.80种    C.100种    D.140种

5.在某种信息传输过程中,用4个数字的一个排列(数字允许重复)表示一个信息,不同排列表示不同信息.若所用数字只有0和1,则与信息0110至多有两个对应位置上的数字相同的信息个数为(  )

A.10     B.11    C.12    D.15

6.如图所示的四棱锥中,顶点为P,从其他的顶点和各棱中点中取3个,使它们和点P在同一平面内,不同的取法种数为(  )

A.40    B.48    C.56     D.62

7.从1,2,3,4中一次随机地取两个数,则其中一个数是另一个数的两倍的概率是_____.

8.某运动队有5对老搭档运动员,现抽派4个运动员参加比赛,则这4人都不是老搭档的抽派方法数为________.

9.在50件产品中有4件是次品,从中任意抽出5件,至少有三件是次品的抽法共有____种.


课件:


教案:

一.问题阐述:

根据新课标的要求,组合数的性质是在学习组合后在学习的,人教A版的教材中把组合数的性质安排在“探索与发现”部分。据了解,大部分教师在处理这一知识点是直接将组合数的两个性质告知学生,让学生记住就好,不知,学生是根本记不住的,就算记住也是暂时的,记住了也不会应用,根源还是在于不知道性质的来源。故为了突破这一难点,笔者设计了这一节的教学设计,以问题为载体,目的在于让学生对组合数的两个性质知其然并且知其所以然。

二:教学目标

1.理解并能熟练掌握组合数的两个性质及其应用。

2.进一步培养学生分析问题、解决问题的能力,体验数学思想方法的发现和运用带来的解题便利,体会数学的实用价值和魅力。

三:教学重难点:

如何理解组合数的两个性质是本节课的重点,也是难点。

  四:教学过程设计:

(一)复习引入:请同学们回顾一下组合的定义。

学生答(略)

(二)探求新知

1.探寻组合数性质(1) 

(1)从高二(1)班107女生宿舍6人中选出2人去参加爱心义卖活动,有多少种选法?

(2) 从高二(1)班107女生宿舍6人中选出4人去参加义务劳动,有多少种选法?

(3)从高二(1)班的7名班委中选出3名为市级优秀班委,有多少种选法?余下的4名为校级优秀班委,有多少种选法?

 学生活动:学生分析后作答.

教师提问1:你能从(1)(2)中发现什么?第(3)问中又发现了什么?谈谈你的看法?

设计意图:让学生从特殊例子中去发现一般的规律,对组合数的第一个性质有初步的认识.

教师提问2:在同一坐标系中,画出函数f(x)= (n=1,2,3,4,5,6,7,x≤n且x∈N*)的图象,根据图象回答下列问题:(1)函数的图象有何特征?怎样用数量关系来描述这些函数的特征?(2)请从数与形两个方面来分析函数f(x)=的特征。

教师先借助计算机显示在同一直角坐标系中函数f(x)=(n=1,2,3,4,5,6,7, x≤n且x∈N*)的图象,引导学生观察,探究,探寻问题的本质.

设计意图:通过学生个别学习,让学生自己抽象概括,揭示问题的本质。这里教师的任务是:对学生知识上进行适当的补遗,思维上进行恰当的启迪,方法上进行恰当的点拨,鼓励学生积极、主动地探究,以较高的热情、顽强的意志,完成整个探究过程。从而总结出组合数的第一个性质:.

教师提问3:你能证明吗?

教师点拨,学生完全可以利用组合数计算公式证明.

2.探寻组合数性质(2)

问题

(1):从高二(1)班107女生宿舍6人中选出3人去参加爱心义卖活动,有多少种选法?

学生易求出:

(2) 从高二(1)班107女生宿舍6人中选出3人去参加爱心义卖活动,宿舍长李芳被选中的选法有几种?宿舍长李芳没被选中的选法有几种?

学生易求出: 宿舍长李芳被选中的选法有:, 宿舍长李芳没被选中的选法有:

教师提出问题:在整个选举过程中,宿舍长要么被选中要么不被选中,对比(1),你发现了什么?

教师引导,学生归纳,若把宿舍长看成是特殊元素,那么在整个选法中分成两类,特殊元素被选上和特殊元素不被选上两种,故有:

设计意图:让学生从实际问题出发,感知组合数性质的实际意义.

问题二:

(1)从高二(1)班的7名班委中选出2名为市级优秀班委,有多少种选法?

学生易求出

(2)从高二(1)班的7名班委中选出2名为市级优秀班委,班长王维被选中的选法有几种?班长没被选中的选法有几种?

学生易知: 班长王维被选中的选法有,班长没被选中的选法有

教师提出问题:在整个选举过程中班长要么被选中要么不被选中,对比(1),你发现了什么?

教师引导,学生归纳,若把班长看成是特殊元素,那么在整个选法中分成两类,特殊元素被选上和特殊元素不被选上两种,故有:.

教师提问:有问题一和问题二,你能猜想得出一般性的什么结论?

学生得出猜想:

设计意图:由两个事例,让学生感知组合数性质的深层次的含义,明白其实际意义,才能有效地帮助学生记住这个性质.其次,由特殊例子归纳猜想一般性的结论,提高学生学习数学的兴趣.

教师提问:你能类比性质的证明过程证明你的猜想成立吗?

设计意图:学生在证明时是较轻松的,在此用相同的证明方法来证,学生信心满满.增强学生的学习积极性.

学生证明(略)

(三)例题分析:

  例1.解方程:

设计意图:加深学生对组合数及其性质的理解及应用.

例2.求

设计意图:让学生熟悉组合数的性质及其应用.

(四)课堂小结:

学生自主总结今天学到的知识点和思想方法.

(五)作业布置:练习册15页1,3,4,5.

五,板书设计

         

高中生学习推荐:
高中语文(微课+课件+教案+考点)汇总
高中英语(微课+课件+教案+考点)汇总
高中化学(微课+课件+教案+考点)汇总
高中物理(微课+课件+教案+考点)汇总
高中数学(微课+课件+教案+练习题)汇总
高中生物(微课+课件+教案+练习题)汇总
高中历史(必修+选修)微课精讲+考点汇总
高中政治(必修+选修)微课精讲+考点汇总

高中地理(必修+选修)微课精讲+考点汇总


图文来自网络,版权归原作者,如有不妥,告知即删

点击阅读原文下载全册PPT课件动画教案习题整套资料

语文数学英语物理化学生物史地政治道德与法治美术音乐科学全部课程 ↓知识点:组合数:从n个不同元素中取出m(m≤n)个元素的所有不同组合的个数,叫做从n个不同元素中取出m个元素的组合数,记。公式:视频教学:练习:1.某校开设A类选修课3门,B类选修课4门,一位同学从中共选3门.若要求两类课程中各至少选一门,则不同的选法共有(  )A.30种   B.35种   C.42种   D.48种2.甲组有5名男同学、3名女同学;乙组有6名男同学、2名女同学.若从甲、乙两组中各选出2名同学,则选出的4人中恰有1名女同学的不同选法共有(  )A.150种   B.180种   C.300种   D.345种3.(2010年高考大纲全国卷Ⅱ)将标号为1,2,3,4,5,6的6张卡片放入3个不同的信封中,若每个信封放2张,其中标号为1,2的卡片放入同一信封,则不同的放法共有(  )A.12种    B.18种   C.36种    D.54种4.从5名男医生、4名女医生中选3名医生组成一个医疗小分队,要求其中男、女医生都有,则不同的组队方案共有(  )A.70种    B.80种    C.100种    D.140种5.在某种信息传输过程中,用4个数字的一个排列(数字允许重复)表示一个信息,不同排列表示不同信息.若所用数字只有0和1,则与信息0110至多有两个对应位置上的数字相同的信息个数为(  )A.10     B.11    C.12    D.156.如图所示的四棱锥中,顶点为P,从其他的顶点和各棱中点中取3个,使它们和点P在同一平面内,不同的取法种数为(  )A.40    B.48    C.56     D.627.从1,2,3,4中一次随机地取两个数,则其中一个数是另一个数的两倍的概率是_____.8.某运动队有5对老搭档运动员,现抽派4个运动员参加比赛,则这4人都不是老搭档的抽派方法数为________.9.在50件产品中有4件是次品,从中任意抽出5件,至少有三件是次品的抽法共有____种.课件:教案:一.问题阐述:根据新课标的要求,组合数的性质是在学习组合后在学习的,人教A版的教材中把组合数的性质安排在“探索与发现”部分。据了解,大部分教师在处理这一知识点是直接将组合数的两个性质告知学生,让学生记住就好,殊不知,学生是根本记不住的,就算记住也是暂时的,记住了也不会应用,根源还是在于不知道性质的来源。故为了突破这一难点,笔者设计了这一节的教学设计,以问题为载体,目的在于让学生对组合数的两个性质知其然并且知其所以然。二:教学目标1.理解并能熟练掌握组合数的两个性质及其应用。2.进一步培养学生分析问题、解决问题的能力,体验数学思想方法的发现和运用带来的解题便利,体会数学的实用价值和魅力。三:教学重难点:如何理解组合数的两个性质是本节课的重点,也是难点。  四:教学过程设计:(一)复习引入:请同学们回顾一下组合的定义。学生答(略)(二)探求新知1.探寻组合数性质(1) (1)从高二(1)班107女生宿舍6人中选出2人去参加爱心义卖活动,有多少种选法?(2) 从高二(1)班107女生宿舍6人中选出4人去参加义务劳动,有多少种选法?(3)从高二(1)班的7名班委中选出3名为市级优秀班委,有多少种选法?余下的4名为校级优秀班委,有多少种选法? 学生活动:学生分析后作答.教师提问1:你能从(1)(2)中发现什么?第(3)问中又发现了什么?谈谈你的看法?设计意图:让学生从特殊例子中去发现一般的规律,对组合数的第一个性质有初步的认识.教师提问2:在同一坐标系中,画出函数f(x)= (n=1,2,3,4,5,6,7,x≤n且x∈N*)的图象,根据图象回答下列问题:(1)函数的图象有何特征?怎样用数量关系来描述这些函数的特征?(2)请从数与形两个方面来分析函数f(x)=的特征。教师先借助计算机显示在同一直角坐标系中函数f(x)=(n=1,2,3,4,5,6,7, x≤n且x∈N*)的图象,引导学生观察,探究,探寻问题的本质.设计意图:通过学生个别学习,让学生自己抽象概括,揭示问题的本质。这里教师的任务是:对学生知识上进行适当的补遗,思维上进行恰当的启迪,方法上进行恰当的点拨,鼓励学生积极、主动地探究,以较高的热情、顽强的意志,完成整个探究过程。从而总结出组合数的第一个性质:.教师提问3:你能证明吗?教师点拨,学生完全可以利用组合数计算公式证明.2.探寻组合数性质(2)问题一(1):从高二(1)班107女生宿舍6人中选出3人去参加爱心义卖活动,有多少种选法?学生易求出:(2) 从高二(1)班107女生宿舍6人中选出3人去参加爱心义卖活动,宿舍长李芳被选中的选法有几种?宿舍长李芳没被选中的选法有几种?学生易求出: 宿舍长李芳被选中的选法有:, 宿舍长李芳没被选中的选法有:教师提出问题:在整个选举过程中,宿舍长要么被选中要么不被选中,对比(1),你发现了什么?教师引导,学生归纳,若把宿舍长看成是特殊元素,那么在整个选法中分成两类,特殊元素被选上和特殊元素不被选上两种,故有:设计意图:让学生从实际问题出发,感知组合数性质的实际意义.问题二:(1)从高二(1)班的7名班委中选出2名为市级优秀班委,有多少种选法?学生易求出(2)从高二(1)班的7名班委中选出2名为市级优秀班委,班长王维被选中的选法有几种?班长没被选中的选法有几种?学生易知: 班长王维被选中的选法有,班长没被选中的选法有教师提出问题:在整个选举过程中班长要么被选中要么不被选中,对比(1),你发现了什么?教师引导,学生归纳,若把班长看成是特殊元素,那么在整个选法中分成两类,特殊元素被选上和特殊元素不被选上两种,故有:.教师提问:有问题一和问题二,你能猜想得出一般性的什么结论?学生得出猜想:设计意图:由两个事例,让学生感知组合数性质的深层次的含义,明白其实际意义,才能有效地帮助学生记住这个性质.其次,由特殊例子归纳猜想一般性的结论,提高学生学习数学的兴趣.教师提问:你能类比性质的证明过程证明你的猜想成立吗?设计意图:学生在证明时是较轻松的,在此用相同的证明方法来证,学生信心满满.增强学生的学习积极性.学生证明(略)(三)例题分析:  例1.解方程:设计意图:加深学生对组合数及其性质的理解及应用.例2.求设计意图:让学生熟悉组合数的性质及其应用.(四)课堂小结:学生自主总结今天学到的知识点和思想方法.(五)作业布置:练习册15页1,3,4,5.五,板书设计         高中生学习推荐:高中语文(微课+课件+教案+考点)汇总高中英语(微课+课件+教案+考点)汇总高中化学(微课+课件+教案+考点)汇总高中物理(微课+课件+教案+考点)汇总高中数学(微课+课件+教案+练习题)汇总高中生物(微课+课件+教案+练习题)汇总高中历史(必修+选修)微课精讲+考点汇总高中政治(必修+选修)微课精讲+考点汇总高中地理(必修+选修)微课精讲+考点汇总图文来自网络,版权归原作者,如有不妥,告知即删点击阅读原文下载全册PPT课件动画教案习题整套资料

APP观看

扫码安装,或者点击这里


.

1→ 统编教材配套课外阅读书籍

2→ 难懂的数学概念一眼看明白