建议使用浏览器Chrome, QQ浏览器
登录/注册
首页 目录 资料 实验室 电子课本 人教版 苏教版 鄂教版 留言反馈 排行榜 课件下载
高中数学《5.2向量数量积的坐标表示》微课精讲+知识点+教案课件+习题 2021-07-07 00:02:46

语文

数学

英语

物理

化学

生物

史地

政治

道德与法治

美术

音乐

科学全部课程 ↓

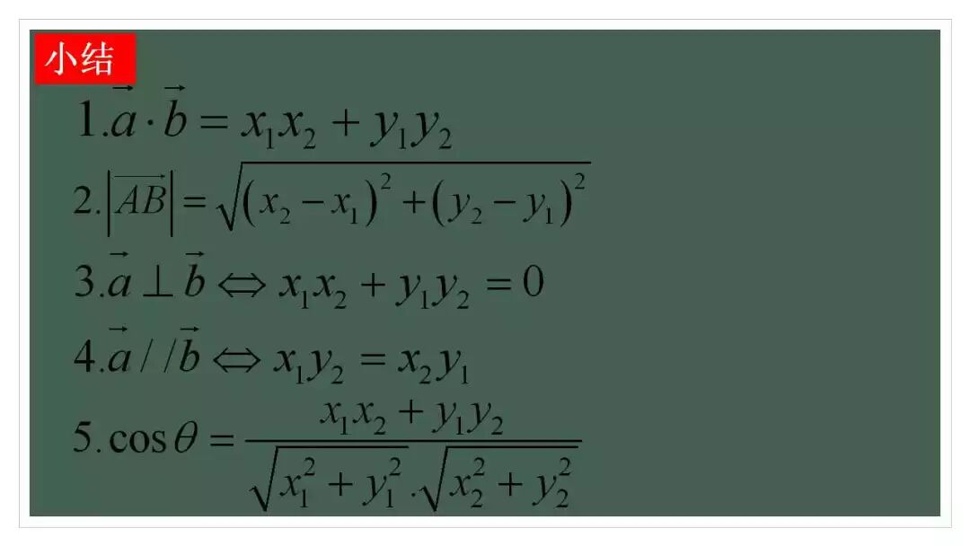
知识点:


视频教学:



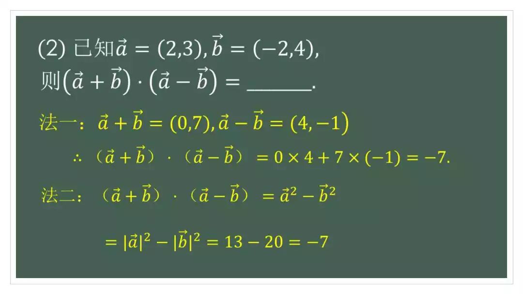
练习:

1.若向量a=(x,2),b=(-1,3),a·b=3,则x=(  )

A.3               B.-3

C.53      D.-53


2.已知a=(-3,-1),b=(1,3),那么ab的夹角θ=(  )

A.30°      B.60°

C.120°      D.150°


3.已知向量a=(-5,6),b=(6,5),则ab(  )

A.垂直      B.不垂直也不平行

C.平行且同向      D.平行且反向


4.已知向量a=(x-1,2),b=(2,1),则ab的充要条件是(  )

A.x=-12      B.x=1

C.x=5      D.x=0


5.已知向量a=(1,n),b=(-1,n),若2abb垂直,则|a|等于(  )

A.1      B.2

C.2      D.4


课件:



教案:

教材分析:

1.内容

 平面向量基本定理,平面向量的正交分解与坐标表示,平面向量的加法、减法、数乘和数量积运算的坐标表示.

 本单元的知识框图如下:

 


 2.内容解析

    平面向量基本定理表明任何一个平面向量a都可以唯一地表示成两个不平行向量的线性组合,即.特殊地,当时,则为正交分解,进而可以借助直角坐标系,用坐标表示向量a.

 这是对平面向量的一个基础性、结构性的认识:给定一个点A,以及两个不平行的向量,则可以刻画平面上任意的点P,通过向量的运算,平面上的点P就可以成为“可操纵”的对象.这是用“数”的运算处理“形”的问题,体现了数形结合的思想方法.

 通过平面向量基本定理,用向量表示几何问题;结合向量运算;最后将向量问题翻译成几何问题,这是“向量法”解决问题的一般步骤与方法.

 “平面向量基本定理”的概念和应用,是研究向量的正交分解和向量的坐标运算基础;向量的几何表示与运算是向量的坐标表示与运算的平行概念;而向量的概念、表示与运算则是平面向量基本定理的上位概念.

 以向量的线性运算为基础,学习平面向量基本定理,进而学习向量的坐标表示与运算.让学生感悟平面向量是体现“形”与“数”融合的重要载体,感受向量方法的力量.

 基于以上分析,可以确定本单元的教学重点:平面向量的基本定理;平面向量运算的坐标表示.


 二、目标和目标解析

 1.目标

 (1)理解平面向量基本定理及其几何意义.

 (2)掌握平面向量的正交分解及坐标表示.

 (3)掌握平面向量的加、减运算与数乘运算的坐标表示.

 (4)掌握平面向量的数量积的坐标表示.

 2.目标解析

 (1)类比力的合成与分解,将任意一个平面向量唯一地表示成两个不平行向量的线性组合,进而理解平面向量基本定理及其意义.

 (2)借助平面直角坐标系,理解平面向量的正交分解及坐标表示.

 (3)知道用坐标表示的平面向量的加、减运算与数乘运算的运算法则,并能熟练进行运算.

 (4)知道坐标表示的平面向量的数量积的运算法则,并能熟练进行运算.

 (5)能用坐标表示两个平面向量的夹角;能用坐标表示平面向量共线、垂直的条件.

 三、教学问题诊断分析

 学生学习了向量的概念以及向量的运算,但在学习平面向量基本定理时仍然会遇到很大的困难,主要体现在三方面:

 其一,位于同一直线上的向量可以由位于这条直线上的一个非零向量表示.类似地,平面内任一向量是否可以由同一平面内的两个不共线向量表示呢?这是学习障碍之一,首先,这个问题的提出就不容易,其次,从一维数轴到二维坐标平面,是思维的一个跨越.解决这个问题,可以借助物理中力的分解与合成.

 其二,任何一个向量都可以唯一表示成,这涉及对“存在性和唯一性”的认识,对思维要求较高.解决这个问题,可以从两方面入手,一是借助信息技术,动态表示;另一方面需对唯一性给出严格的证明.

 其三,用向量方法解决几何问题时,先要用基底表示其他相关向量,进而通过向量运算解决问题,这是一个全新的方法.解决这个问题,需多加练习,做到熟能生巧.

 由此,可以确定本单元的教学难点是:平面向量基本定理,用平面向量基本定理解决有关问题.

教学重点、难点

重点:平面向量的基本定理;平面向量运算的坐标表示.

难点:平面向量基本定理,用平面向量基本定理解决有关问题.


五、数学学科素养


数学抽象、逻辑推理数学运算直观想象数学建模


高中生学习推荐:
高中语文(微课+课件+教案+考点)汇总
高中英语(微课+课件+教案+考点)汇总
高中化学(微课+课件+教案+考点)汇总
高中物理(微课+课件+教案+考点)汇总
高中数学(微课+课件+教案+练习题)汇总
高中生物(微课+课件+教案+练习题)汇总
高中历史(必修+选修)微课精讲+考点汇总
高中政治(必修+选修)微课精讲+考点汇总

高中地理(必修+选修)微课精讲+考点汇总


图文来自网络,版权归原作者,如有不妥,告知即删

点击阅读原文下载全册PPT课件动画教案习题整套资料

语文数学英语物理化学生物史地政治道德与法治美术音乐科学全部课程 ↓知识点:视频教学:练习:1.若向量a=(x,2),b=(-1,3),a·b=3,则x=(  )A.3               B.-3C.53      D.-532.已知a=(-3,-1),b=(1,3),那么a,b的夹角θ=(  )A.30°      B.60°C.120°      D.150°3.已知向量a=(-5,6),b=(6,5),则a与b(  )A.垂直      B.不垂直也不平行C.平行且同向      D.平行且反向4.已知向量a=(x-1,2),b=(2,1),则a⊥b的充要条件是(  )A.x=-12      B.x=1C.x=5      D.x=05.已知向量a=(1,n),b=(-1,n),若2a-b与b垂直,则|a|等于(  )A.1      B.2C.2      D.4课件:教案:教材分析:1.内容 平面向量基本定理,平面向量的正交分解与坐标表示,平面向量的加法、减法、数乘和数量积运算的坐标表示. 本单元的知识框图如下:  2.内容解析    平面向量基本定理表明任何一个平面向量a都可以唯一地表示成两个不平行向量的线性组合,即.特殊地,当时,则为正交分解,进而可以借助直角坐标系,用坐标表示向量a. 这是对平面向量的一个基础性、结构性的认识:给定一个点A,以及两个不平行的向量,则可以刻画平面上任意的点P,通过向量的运算,平面上的点P就可以成为“可操纵”的对象.这是用“数”的运算处理“形”的问题,体现了数形结合的思想方法. 通过平面向量基本定理,用向量表示几何问题;结合向量运算;最后将向量问题翻译成几何问题,这是“向量法”解决问题的一般步骤与方法. “平面向量基本定理”的概念和应用,是研究向量的正交分解和向量的坐标运算基础;向量的几何表示与运算是向量的坐标表示与运算的平行概念;而向量的概念、表示与运算则是平面向量基本定理的上位概念. 以向量的线性运算为基础,学习平面向量基本定理,进而学习向量的坐标表示与运算.让学生感悟平面向量是体现“形”与“数”融合的重要载体,感受向量方法的力量. 基于以上分析,可以确定本单元的教学重点:平面向量的基本定理;平面向量运算的坐标表示. 二、目标和目标解析 1.目标 (1)理解平面向量基本定理及其几何意义. (2)掌握平面向量的正交分解及坐标表示. (3)掌握平面向量的加、减运算与数乘运算的坐标表示. (4)掌握平面向量的数量积的坐标表示. 2.目标解析 (1)类比力的合成与分解,将任意一个平面向量唯一地表示成两个不平行向量的线性组合,进而理解平面向量基本定理及其意义. (2)借助平面直角坐标系,理解平面向量的正交分解及坐标表示. (3)知道用坐标表示的平面向量的加、减运算与数乘运算的运算法则,并能熟练进行运算. (4)知道坐标表示的平面向量的数量积的运算法则,并能熟练进行运算. (5)能用坐标表示两个平面向量的夹角;能用坐标表示平面向量共线、垂直的条件. 三、教学问题诊断分析 学生学习了向量的概念以及向量的运算,但在学习平面向量基本定理时仍然会遇到很大的困难,主要体现在三方面: 其一,位于同一直线上的向量可以由位于这条直线上的一个非零向量表示.类似地,平面内任一向量是否可以由同一平面内的两个不共线向量表示呢?这是学习障碍之一,首先,这个问题的提出就不容易,其次,从一维数轴到二维坐标平面,是思维的一个跨越.解决这个问题,可以借助物理中力的分解与合成. 其二,任何一个向量都可以唯一表示成,这涉及对“存在性和唯一性”的认识,对思维要求较高.解决这个问题,可以从两方面入手,一是借助信息技术,动态表示;另一方面需对唯一性给出严格的证明. 其三,用向量方法解决几何问题时,先要用基底表示其他相关向量,进而通过向量运算解决问题,这是一个全新的方法.解决这个问题,需多加练习,做到熟能生巧. 由此,可以确定本单元的教学难点是:平面向量基本定理,用平面向量基本定理解决有关问题.四、教学重点、难点重点:平面向量的基本定理;平面向量运算的坐标表示.难点:平面向量基本定理,用平面向量基本定理解决有关问题.五、数学学科素养数学抽象、逻辑推理、数学运算、直观想象、数学建模。高中生学习推荐:高中语文(微课+课件+教案+考点)汇总高中英语(微课+课件+教案+考点)汇总高中化学(微课+课件+教案+考点)汇总高中物理(微课+课件+教案+考点)汇总高中数学(微课+课件+教案+练习题)汇总高中生物(微课+课件+教案+练习题)汇总高中历史(必修+选修)微课精讲+考点汇总高中政治(必修+选修)微课精讲+考点汇总高中地理(必修+选修)微课精讲+考点汇总图文来自网络,版权归原作者,如有不妥,告知即删点击阅读原文下载全册PPT课件动画教案习题整套资料

APP观看

扫码安装,或者点击这里


.

1→ 统编教材配套课外阅读书籍

2→ 难懂的数学概念一眼看明白