建议使用浏览器Chrome, QQ浏览器
登录/注册
首页 目录 资料 实验室 电子课本 人教版 苏教版 鄂教版 留言反馈 排行榜 课件下载
高中数学《5.1向量的数量积》微课精讲+知识点+教案课件+习题 2021-07-07 00:02:46

语文

数学

英语

物理

化学

生物

史地

政治

道德与法治

美术

音乐

科学全部课程 ↓

知识点:

1.已知两个非零向量,则数量叫做的数量积,记作,即 ,其中θ是的夹角.
规定
.
时,θ=90o,这时.

2.的几何意义:
  数量
积等于的长度的方向上的投影的乘积.
数量积的坐标运算
, 则:
 1.
.

 2.
.

 3.
.

 4.
.(θ为夹角)


视频教学:




练习:

1.如图,在△ABC中,AB=BC=4,∠ABC=30o,AD是边BC上的高,则的值等于 (  )
  

 A.0  B.4  C.8  D.-4
【答案】B
【解析】
  
,故选B.

2.已知向量
, 且,则实数k的值为(  )
 A.
  B.0  C.3  D.
【答案】C
【解析】
  ∵


  又∵


  ∴
,即(2k-3)×2+(-6)=0,解得k=3 .

3.已知向量
,则向量方向上的投影为(  )
 A.
  B.3  C.  D.-3
【答案】D
【解析】
  向量
方向上的投影为,故选D.

4.已知非零向量
满足 ,的夹角为120o,则的取值范围是(  ).
【答案】
.
【解析】
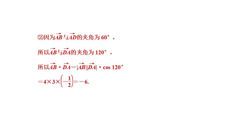
  如图在△ABC中,若
的夹角为120o,

  则∠B=60o,又
 ,

  由正弦定理


  则
,0<A<120o,0<sinA<1,

  ∴ 


  


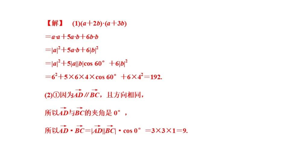
5.已知
的值是______.
【答案】13.
【解析】
  
.

课件:

教案:

教材分析:

1.内容

 平面向量的数量积.

 建议用2课时.

 第1课时:平面向量数量积的物理背景及其含义;

 第2课时:平面向量数量积的运算律.

 2.内容解析

 本单元是在学生已经学习了平面向量线性运算的基础上,以物理中功的概念,引入向量“数量积”的概念.

 向量的数量积运算结果是实数,它不仅满足交换律,而且对加法满足分配律.向量数量积可以刻画两个向量的夹角和向量的长度(可以看成两点间的距离),而距离和角又是刻画几何元素(点、线、面)之间度量关系的基本量.因此,向量数量积在解决平面几何问题中发挥着独到的作用.

 向量的数量积是一种新的向量运算,与向量的加法、减法、数乘运算一样,它也有明显的物理意义、几何意义.但与向量的线性运算不同的是,它的运算结果不是向量而是数量.

 本单元在研究平面向量的数量积时,借助物理中的有关模型或借助与数的运算的类比,如借助物理中功的概念引出数量积的概念;借助与数的运算的类比,发现数量积的运算律.本单元的内容蕴含了数形结合、类比、归纳、抽象等数学思想方法,是培养学生数学抽象、逻辑推理、数学运算、直观想象等数学学科核心素养的极好载体.

 基于以上分析,可以确定本单元的教学重点是:平面向量数量积的定义,平面向量数量积的运算.

 二、目标和目标解析

 1.目标

 (1)通过物理中“功”等实例,理解平面向量数量积的概念及其物理意义,会计算平面向量的数量积.

 (2)通过几何直观,了解平面向量投影的概念以及投影向量的意义.

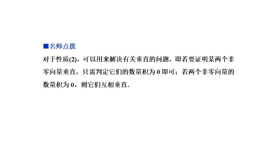
 (3)会用数量积判断两个平面向量的垂直关系.

 2.目标解析

 达成目标(1)的标志是,学生能从物理中“功”的具体实例中,引出向量的数量积的概念,能依据数量积的概念计算平面向量的数量积,并能像了解实数的运算律一样,通过具体实例了解向量数量积的性质.

 达成目标(2)的标志是,学生能从图形中判断向量投影与投影向量,知道向量投影是一种正交变换,并能表示投影向量与原向量之间的关系,能借助向量投影与投影向量体会向量数量积的几何意义.

 达成目标(3)的标志是,学生知道两个平面向量的垂直等价于其数量积为零,并能用这一结论进行向量运算.

 三、教学问题诊断分析

 两个向量夹角的定义是指同一点出发的两个向量所构成的较小的非负角,因此向量夹角定义理解不清而造成解题错误是一些常见的误区.同时利用向量的数量积,可以解决两向量垂直问题,要深刻理解两向量垂直的充要条件,应用的时候才能得心应手.

 向量的数量积是一种新的向量运算,与向量的加法、减法、数乘运算一样,它也有明显的物理意义、几何意义,用途广泛.但与向量的线性运算不同的是,它的运算结果不是向量而是数量,正是这个不同点沟通了向量运算与数量之间的关系.教学时,教师要强调:两个非零向量的数量积是数量,而不是向量,它的值是两个向量的长度与两个向量夹角的余弦的乘积,其符号由夹角的余弦值决定,并且规定,零向量与任一非零向量的数量积为0.

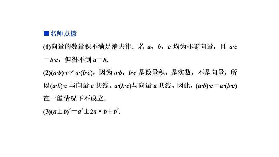
 由于向量的数量积是学生没有遇到的一种新的运算,与数的乘法有联系,但也有很大的区别.教学中,让学生思考向量运算与实数运算的一个不同之处,可以让学生先独立思考,并从数量积的定义中想清楚:当a≠0时,由a·b=0不能推出b一定是零向量.这是因为任一与a垂直的非零向量b,都有a·b=0.

 对于向量的数量积运算,学生容易受实数乘法运算性质的负迁移的影响,可能出现一些错误,教师要尽可能地引导学生举一些反例,纠正错误.为此,教科书安排了一个思考栏目,教学时,要引导学生借助画图、举反例来澄清认识,体会向量运算与实数运算的差异.下面的解释供参考:对于实数a,b,c有(a·b)c=a(b·c),但对于向量a,b,c,(a·b)c=a(b·c)未必成立.这是因为(a·b)c表示一个与c共线的向量,而a(b·c)表示一个与a共线的向量,而c与a不一定共线,所以(a·b)c=a(b·c)未必成立.

 学生对向量数量积的认识是逐步加深的,必要时,教师可以提醒学生画图或列表对比实数的乘法与向量的数量积运算的不同之处,或者再举一些反例强化学生的认识.如已知实数a,b,c(b≠0),则.但对向量的数量积,该推理不正确,即a·b=b·c⇏ a=c

 基于上述分析,本单元的教学难点是:

 ①两个向量夹角的定义;

 ②平面向量数量积的定义及其运算律的理解;

 ③平面向量数量积的应用.

教学重点、难点

重点:

平面向量数量积的定义,平面向量数量积的运算.

难点:

 ①两个向量夹角的定义;

 ②平面向量数量积的定义及其运算律的理解;

 ③平面向量数量积的应用.


五、数学学科素养


数学抽象、逻辑推理、数学运算、直观想象


高中生学习推荐:
高中语文(微课+课件+教案+考点)汇总
高中英语(微课+课件+教案+考点)汇总
高中化学(微课+课件+教案+考点)汇总
高中物理(微课+课件+教案+考点)汇总
高中数学(微课+课件+教案+练习题)汇总
高中生物(微课+课件+教案+练习题)汇总
高中历史(必修+选修)微课精讲+考点汇总
高中政治(必修+选修)微课精讲+考点汇总

高中地理(必修+选修)微课精讲+考点汇总


图文来自网络,版权归原作者,如有不妥,告知即删

点击阅读原文下载全册PPT课件动画教案习题整套资料

语文数学英语物理化学生物史地政治道德与法治美术音乐科学全部课程 ↓知识点:1.已知两个非零向量与,则数量叫做与的数量积,记作,即 ,其中θ是与的夹角.规定.当时,θ=90o,这时.2.的几何意义:  数量积等于的长度与在的方向上的投影的乘积.数量积的坐标运算设,, 则: 1.. 2.. 3.. 4..(θ为与夹角)视频教学:练习:1.如图,在△ABC中,AB=BC=4,∠ABC=30o,AD是边BC上的高,则的值等于 (  )   A.0  B.4  C.8  D.-4【答案】B【解析】  ,故选B.2.已知向量, 且,则实数k的值为(  ) A.  B.0  C.3  D.【答案】C【解析】  ∵,  又∵,  ∴,即(2k-3)×2+(-6)=0,解得k=3 .3.已知向量,则向量在方向上的投影为(  ) A.  B.3  C.  D.-3【答案】D【解析】  向量在方向上的投影为,故选D.4.已知非零向量,满足 ,与的夹角为120o,则的取值范围是(  ).【答案】.【解析】  如图在△ABC中,若与的夹角为120o,  则∠B=60o,又 ,  由正弦定理,  则,0<A<120o,0<sinA<1,  ∴ .  5.已知则的值是______.【答案】13.【解析】  .课件:教案:教材分析:1.内容 平面向量的数量积. 建议用2课时. 第1课时:平面向量数量积的物理背景及其含义; 第2课时:平面向量数量积的运算律. 2.内容解析 本单元是在学生已经学习了平面向量线性运算的基础上,以物理中功的概念,引入向量“数量积”的概念. 向量的数量积运算结果是实数,它不仅满足交换律,而且对加法满足分配律.向量数量积可以刻画两个向量的夹角和向量的长度(可以看成两点间的距离),而距离和角又是刻画几何元素(点、线、面)之间度量关系的基本量.因此,向量数量积在解决平面几何问题中发挥着独到的作用. 向量的数量积是一种新的向量运算,与向量的加法、减法、数乘运算一样,它也有明显的物理意义、几何意义.但与向量的线性运算不同的是,它的运算结果不是向量而是数量. 本单元在研究平面向量的数量积时,借助物理中的有关模型或借助与数的运算的类比,如借助物理中功的概念引出数量积的概念;借助与数的运算的类比,发现数量积的运算律.本单元的内容蕴含了数形结合、类比、归纳、抽象等数学思想方法,是培养学生数学抽象、逻辑推理、数学运算、直观想象等数学学科核心素养的极好载体. 基于以上分析,可以确定本单元的教学重点是:平面向量数量积的定义,平面向量数量积的运算. 二、目标和目标解析 1.目标 (1)通过物理中“功”等实例,理解平面向量数量积的概念及其物理意义,会计算平面向量的数量积. (2)通过几何直观,了解平面向量投影的概念以及投影向量的意义. (3)会用数量积判断两个平面向量的垂直关系. 2.目标解析 达成目标(1)的标志是,学生能从物理中“功”的具体实例中,引出向量的数量积的概念,能依据数量积的概念计算平面向量的数量积,并能像了解实数的运算律一样,通过具体实例了解向量数量积的性质. 达成目标(2)的标志是,学生能从图形中判断向量投影与投影向量,知道向量投影是一种正交变换,并能表示投影向量与原向量之间的关系,能借助向量投影与投影向量体会向量数量积的几何意义. 达成目标(3)的标志是,学生知道两个平面向量的垂直等价于其数量积为零,并能用这一结论进行向量运算. 三、教学问题诊断分析 两个向量夹角的定义是指同一点出发的两个向量所构成的较小的非负角,因此向量夹角定义理解不清而造成解题错误是一些常见的误区.同时利用向量的数量积,可以解决两向量垂直问题,要深刻理解两向量垂直的充要条件,应用的时候才能得心应手. 向量的数量积是一种新的向量运算,与向量的加法、减法、数乘运算一样,它也有明显的物理意义、几何意义,用途广泛.但与向量的线性运算不同的是,它的运算结果不是向量而是数量,正是这个不同点沟通了向量运算与数量之间的关系.教学时,教师要强调:两个非零向量的数量积是数量,而不是向量,它的值是两个向量的长度与两个向量夹角的余弦的乘积,其符号由夹角的余弦值决定,并且规定,零向量与任一非零向量的数量积为0. 由于向量的数量积是学生没有遇到的一种新的运算,与数的乘法有联系,但也有很大的区别.教学中,让学生思考向量运算与实数运算的一个不同之处,可以让学生先独立思考,并从数量积的定义中想清楚:当a≠0时,由a·b=0不能推出b一定是零向量.这是因为任一与a垂直的非零向量b,都有a·b=0. 对于向量的数量积运算,学生容易受实数乘法运算性质的负迁移的影响,可能出现一些错误,教师要尽可能地引导学生举一些反例,纠正错误.为此,教科书安排了一个思考栏目,教学时,要引导学生借助画图、举反例来澄清认识,体会向量运算与实数运算的差异.下面的解释供参考:对于实数a,b,c有(a·b)c=a(b·c),但对于向量a,b,c,(a·b)c=a(b·c)未必成立.这是因为(a·b)c表示一个与c共线的向量,而a(b·c)表示一个与a共线的向量,而c与a不一定共线,所以(a·b)c=a(b·c)未必成立. 学生对向量数量积的认识是逐步加深的,必要时,教师可以提醒学生画图或列表对比实数的乘法与向量的数量积运算的不同之处,或者再举一些反例强化学生的认识.如已知实数a,b,c(b≠0),则.但对向量的数量积,该推理不正确,即a·b=b·c⇏ a=c. 基于上述分析,本单元的教学难点是: ①两个向量夹角的定义; ②平面向量数量积的定义及其运算律的理解; ③平面向量数量积的应用.四教学重点、难点重点:平面向量数量积的定义,平面向量数量积的运算.难点: ①两个向量夹角的定义; ②平面向量数量积的定义及其运算律的理解; ③平面向量数量积的应用.五、数学学科素养数学抽象、逻辑推理、数学运算、直观想象高中生学习推荐:高中语文(微课+课件+教案+考点)汇总高中英语(微课+课件+教案+考点)汇总高中化学(微课+课件+教案+考点)汇总高中物理(微课+课件+教案+考点)汇总高中数学(微课+课件+教案+练习题)汇总高中生物(微课+课件+教案+练习题)汇总高中历史(必修+选修)微课精讲+考点汇总高中政治(必修+选修)微课精讲+考点汇总高中地理(必修+选修)微课精讲+考点汇总图文来自网络,版权归原作者,如有不妥,告知即删点击阅读原文下载全册PPT课件动画教案习题整套资料

APP观看

扫码安装,或者点击这里


.

1→ 统编教材配套课外阅读书籍

2→ 难懂的数学概念一眼看明白