建议使用浏览器Chrome, QQ浏览器
登录/注册
首页 目录 资料 实验室 电子课本 人教版 苏教版 鄂教版 留言反馈 排行榜 课件下载
高中数学《3.2向量的数乘与向量共线的关系》微课精讲+知识点+教案课件+习题 2021-07-06 00:36:21

语文

数学

英语

物理

化学

生物

史地

政治

道德与法治

美术

音乐

科学全部课程 ↓

知识点:


视频教学:



练习:


课件:


教案:

学习目的:

(1)理解平面向量的坐标的概念;

(2)掌握平面向量的坐标运算;

(3)会根据向量的坐标,判断向量是否共线.

学习重点:平面向量的坐标运算

学习难点:向量的坐标表示的理解及运算的准确性

课堂探究

一、复习引入:

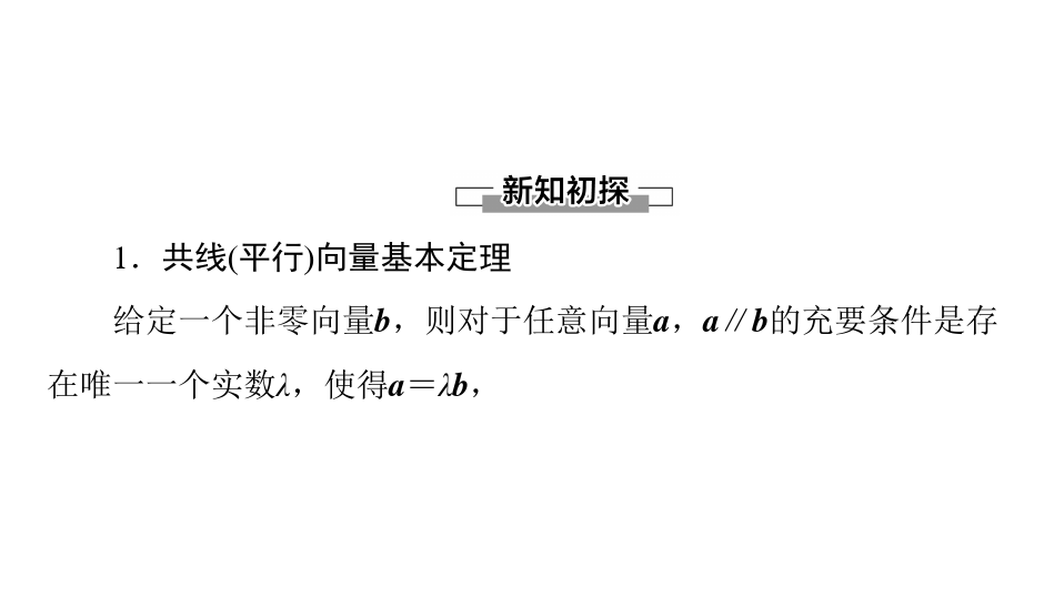
1.平面向量的坐标表示

分别取与轴、轴方向相同的两个单位向量作为基底.任作一个向量,由平面向量基本定理知,有且只有一对实数,使得

叫做向量的(直角)坐标,记作

其中叫做轴上的坐标,叫做轴上的坐标, 特别地,.

2.平面向量的坐标运算

.

,则

二、讲解新课:

 ()的充要条件是x1y2-x2y1=0

=(x1, y1=(x2, y2)  其中.

得, (x1, y1) =λ(x2, y2)      消去λ,x1y2-x2y1=0

探究:(1)消去λ时不能两式相除,∵y1, y2有可能为0, ∵  ∴x2, y2中至少有一个不为0

(2)充要条件不能写成       ∵x1, x2有可能为0

(3)从而向量共线的充要条件有两种形式: ()

三、讲解范例:

例1已知=(4,2)=(6, y),,求y.

例2已知A(-1, -1) B(1,3) C(2,5),试判断A,B,C三点之间的位置关系.

例3设点P是线段P1P2上的一点, P1、P2的坐标分别是(x1,y1),(x2,y2).

(1)当点P是线段P1P2的中点时,求点P的坐标;

(2) 当点P是线段P1P2的一个三等分点时,求点P的坐标.

例4若向量=(-1,x)=(-x, 2)共线且方向相同,求x

解:∵=(-1,x)=(-x, 2) 共线   ∴(-1)×2- x•(-x)=0

   ∴x=±    ∵方向相同     ∴x=

  例5 已知A(-1, -1) B(1,3) C(1,5) ,D(2,7) ,向量平行吗?直线AB与平行于直线CD吗?

    解:∵=(1-(-1), 3-(-1))=(2, 4)   =(2-1,7-5)=(1,2)

       又 ∵2×2-4×1=0     ∴

       又 ∵ =(1-(-1), 5-(-1))=(2,6) ,=(2, 4),2×4-2×60  ∴不平行

       ∴A,B,C不共线     ∴AB与CD不重合       ∴AB∥CD

四、课堂练习

1.若a=(2,3),b=(4,-1+y),且ab,则y=(    )

A.6            B.5            C.7            D.8

2.若A(x,-1),B(1,3),C(2,5)三点共线,则x的值为(    )

A.-3           B.-1           C.1            D.3

3.若=i+2j, =(3-x)i+(4-y)j(其中ij的方向分别与xy轴正方向相同且为单位向量). 共线,则x、y的值可能分别为(   )

A.1,2        B.2,2         C.3,2         D.2,4

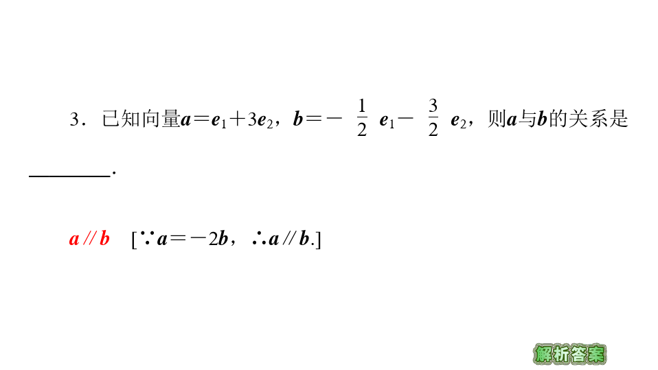
4.已知a=(4,2),b=(6,y),且ab,则y=           .

5.已知a=(1,2),b=(x,1),若a+2b与2a-b平行,则x的值为        .

6.已知□ABCD四个顶点的坐标为A(5,7),B(3,x),C(2,3),D(4,x),则x=           .

五、小结 (略)

六、课后作业(略)


高中生学习推荐:
高中语文(微课+课件+教案+考点)汇总
高中英语(微课+课件+教案+考点)汇总
高中化学(微课+课件+教案+考点)汇总
高中物理(微课+课件+教案+考点)汇总
高中数学(微课+课件+教案+练习题)汇总
高中生物(微课+课件+教案+练习题)汇总
高中历史(必修+选修)微课精讲+考点汇总
高中政治(必修+选修)微课精讲+考点汇总

高中地理(必修+选修)微课精讲+考点汇总


图文来自网络,版权归原作者,如有不妥,告知即删

点击阅读原文下载全册PPT课件动画教案习题整套资料

语文数学英语物理化学生物史地政治道德与法治美术音乐科学全部课程 ↓知识点:视频教学:练习:课件:教案:学习目的:(1)理解平面向量的坐标的概念;(2)掌握平面向量的坐标运算;(3)会根据向量的坐标,判断向量是否共线.学习重点:平面向量的坐标运算学习难点:向量的坐标表示的理解及运算的准确性课堂探究:一、复习引入:1.平面向量的坐标表示分别取与轴、轴方向相同的两个单位向量、作为基底.任作一个向量,由平面向量基本定理知,有且只有一对实数、,使得把叫做向量的(直角)坐标,记作其中叫做在轴上的坐标,叫做在轴上的坐标, 特别地,,,.2.平面向量的坐标运算若,,则,,.若,,则二、讲解新课:∥ ()的充要条件是x1y2-x2y1=0设=(x1, y1) ,=(x2, y2)  其中.由=λ得, (x1, y1) =λ(x2, y2)      消去λ,x1y2-x2y1=0探究:(1)消去λ时不能两式相除,∵y1, y2有可能为0, ∵  ∴x2, y2中至少有一个不为0(2)充要条件不能写成       ∵x1, x2有可能为0(3)从而向量共线的充要条件有两种形式:∥ ()三、讲解范例:例1已知=(4,2),=(6, y),且∥,求y.例2已知A(-1, -1), B(1,3), C(2,5),试判断A,B,C三点之间的位置关系.例3设点P是线段P1P2上的一点, P1、P2的坐标分别是(x1,y1),(x2,y2).(1)当点P是线段P1P2的中点时,求点P的坐标;(2) 当点P是线段P1P2的一个三等分点时,求点P的坐标.例4若向量=(-1,x)与=(-x, 2)共线且方向相同,求x解:∵=(-1,x)与=(-x, 2) 共线   ∴(-1)×2- x•(-x)=0   ∴x=±    ∵与方向相同     ∴x=  例5 已知A(-1, -1), B(1,3), C(1,5) ,D(2,7) ,向量与平行吗?直线AB与平行于直线CD吗?    解:∵=(1-(-1), 3-(-1))=(2, 4)  , =(2-1,7-5)=(1,2)       又 ∵2×2-4×1=0     ∴∥       又 ∵ =(1-(-1), 5-(-1))=(2,6) ,=(2, 4),2×4-2×60  ∴与不平行       ∴A,B,C不共线     ∴AB与CD不重合       ∴AB∥CD四、课堂练习:1.若a=(2,3),b=(4,-1+y),且a∥b,则y=(    )A.6            B.5            C.7            D.82.若A(x,-1),B(1,3),C(2,5)三点共线,则x的值为(    )A.-3           B.-1           C.1            D.33.若=i+2j, =(3-x)i+(4-y)j(其中i、j的方向分别与x、y轴正方向相同且为单位向量). 与共线,则x、y的值可能分别为(   )A.1,2        B.2,2         C.3,2         D.2,44.已知a=(4,2),b=(6,y),且a∥b,则y=           .5.已知a=(1,2),b=(x,1),若a+2b与2a-b平行,则x的值为        .6.已知□ABCD四个顶点的坐标为A(5,7),B(3,x),C(2,3),D(4,x),则x=           .五、小结 (略)六、课后作业(略)高中生学习推荐:高中语文(微课+课件+教案+考点)汇总高中英语(微课+课件+教案+考点)汇总高中化学(微课+课件+教案+考点)汇总高中物理(微课+课件+教案+考点)汇总高中数学(微课+课件+教案+练习题)汇总高中生物(微课+课件+教案+练习题)汇总高中历史(必修+选修)微课精讲+考点汇总高中政治(必修+选修)微课精讲+考点汇总高中地理(必修+选修)微课精讲+考点汇总图文来自网络,版权归原作者,如有不妥,告知即删点击阅读原文下载全册PPT课件动画教案习题整套资料

APP观看

扫码安装,或者点击这里


.

1→ 统编教材配套课外阅读书籍

2→ 难懂的数学概念一眼看明白