建议使用浏览器Chrome, QQ浏览器
登录/注册
首页 目录 资料 实验室 电子课本 人教版 苏教版 鄂教版 留言反馈 排行榜 课件下载
高中数学《7.3正切函数的图象与性质》微课精讲+知识点+教案课件+习题 2021-07-04 01:57:23

语文

数学

英语

物理

化学

生物

史地

政治

道德与法治

美术

音乐

科学全部课程 ↓

知识点:


视频教学:



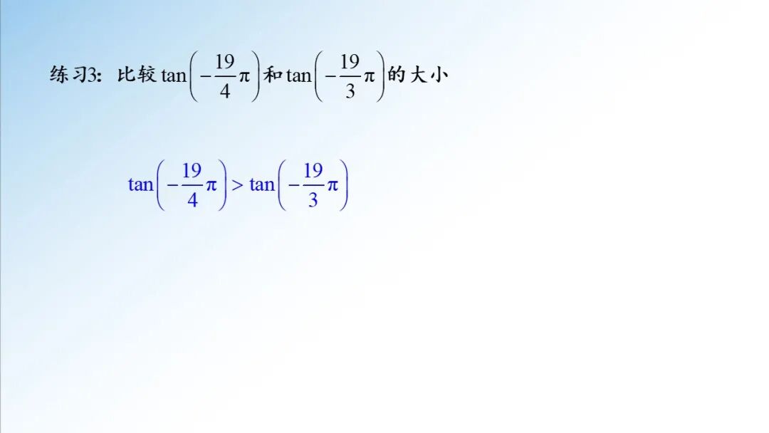
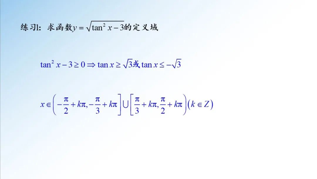
练习:


课件:


教案:

教材分析:

      本节的主要内容是由正弦函数、余弦函数的图象与性质学习的经验,通过运用数形结合的思想方法和类比思想,对正切函数的图像与性质进行研究,并应用函数性质解决问题。是学生对函数学习方法掌握情况的一次大检阅。

     本课首先从定义出发研究它的性质,再利用性质研究正切函数性质.

      因此要注意对学生研究函数方法的启发,本节的学习有着极其重要的地位。发展学生数学直观、数学抽象、逻辑推理、数学建模的核心素养。


二、目标和目标解析

    1.理解并掌握正切函数的周期性、定义域、值域、奇偶性和单调性。并能够应用正切函数的图象和性质解决相关问题。

    2.会利用奇偶性和周期性画出正切曲线

    3.通过正切函数图像与性质的探究,培养学生数形结合和类比的思想方法。


教学重点、难点


教学重点:正切函数的周期性、定义域、值域、奇偶性和单调性

教学难点:画出正切曲线、能够应用正切曲线和性质解决相关问题。


四、数学学科素养

1.数学抽象:函数性质的总结;

2.逻辑推理:从区间[0,π/2上的局部图象,拓展到整个定义域上的图象

3.数学运算:运用函数性质解决问题;

4.直观想象:从区间[0,π/2上的局部图象,拓展到整个定义域上的图象

5.数学建模:画出正切曲线

五、教学分析:见《研讨素材二》





研讨素材二



5.4.3正切函数的性质与图象

      通过前面的学习,学生对研究三角函数的性质有了一定的经验积累,教科书一开始设置“思考”,用两个间题引导学生对函数性质的研究经验进行概括总结,并尝试用不同的方法进行创造性的实践.

     归纳起来可以有两种思路:一是先根据三角函数的定义,借助单位圆直接画出函数的图象,再利用图象直观研究函数的性质;二是以定义为出发点,先研究函数的部分性质,再结合定义和这些性质研究函数的图象,然后借助图象的观察进一步获得函数的其他性质。了解这些思路可以更有效地研究函数的图象与性质,全面深入地理解数形结合的思想。

      由于一个角的正切值是这个角的终边与单位圆交点的坐标比值,难以直接利用正切值的几何意义对正切函数进行几何作图,对正切函数图象与正切定义之间的内在联系在理解上有一定的难度。为突破这一难点。教科书采用了第二种思路。对于正切函数的性质和图象。教科书呈现了如下的研究过程。

      1.从研究周期性和奇偶性入手

     根据诱导公式,先从代数角度获得正切函数的周期性和奇偶性,然后根据周期性和奇偶性。

     将正切函数在整个定义域的图象和性质问题归结为区间[0,π/2上的图象与性质。

     2.函数y=tanx,x[0,π/2)的图象

     教科书借助单位圆。寻求x[0π/2时正切值tanx的几何意义(即正切线),再在区间[0π/2上取点(如将区间6等分,得到自变量的取值为0,π/12π/6π/4π/3,5π/12),从而画出正切函数图象上相应的特殊点,并用光滑曲线进行连接。教学时,应注意引导学生分析自变量从0趋向于π/2时,正切值的变化趋势,从而准确把握正切函数图象的形状特征。

     3.利用奇偶性和周期性画出正切曲线

     从区间[0,π/2上的局部图象,拓展到整个定义域上的图象,既需要函数周期性和奇偶性的代数推理,也需要对图形特征的直观想象。

     利用正切的几何意义画图,可以强化几何直观,突显正切函数的定义与函数图象之间的内在联系。这里只需借助坐标的几何意义,无需明确提出正切线的概念。

     正切函数的图象被与y轴平行的一系列直线x=kπ+π/2,KZ,所隔开并无限逼近,关于这一事实,学生在认识上可能有困难。因此,教学时需紧紧围绕正切的定义并借助信息技术进行直观而细致的分析:首先是理现解正切的定义域{x|xkπ+π/2,KZ} 对于图象的几何意义;然后借助信息技术从几何直观、数值变化等多角度感受在区间[0,π/2上,当xπ/2时,tanx→+的事实。

     4.单调性

    在观察图象的基础上,让学生自己归的概括出正切函数单调区间的一般形式,并写出函数的值域。

     5.应用

     例6研究了形如y=Atanωx+φ的具体函数的定义域、周期及单调性等性质。采用变量代换(令z=πx/2π/3)的方法可以将函数y=tan(πx/2π/3)的性质转化为正切函数y=tanx的性质处理。


高中生学习推荐:
高中语文(微课+课件+教案+考点)汇总
高中英语(微课+课件+教案+考点)汇总
高中化学(微课+课件+教案+考点)汇总
高中物理(微课+课件+教案+考点)汇总
高中数学(微课+课件+教案+练习题)汇总
高中生物(微课+课件+教案+练习题)汇总
高中历史(必修+选修)微课精讲+考点汇总
高中政治(必修+选修)微课精讲+考点汇总

高中地理(必修+选修)微课精讲+考点汇总


图文来自网络,版权归原作者,如有不妥,告知即删

点击阅读原文下载全册PPT课件动画教案习题整套资料

语文数学英语物理化学生物史地政治道德与法治美术音乐科学全部课程 ↓知识点:视频教学:练习:课件:教案:教材分析:      本节的主要内容是由正弦函数、余弦函数的图象与性质学习的经验,通过运用数形结合的思想方法和类比思想,对正切函数的图像与性质进行研究,并应用函数性质解决问题。是学生对函数学习方法掌握情况的一次大检阅。     本课首先从定义出发研究它的性质,再利用性质研究正切函数性质.      因此要注意对学生研究函数方法的启发,本节的学习有着极其重要的地位。发展学生数学直观、数学抽象、逻辑推理、数学建模的核心素养。二、目标和目标解析    1.理解并掌握正切函数的周期性、定义域、值域、奇偶性和单调性。并能够应用正切函数的图象和性质解决相关问题。    2.会利用奇偶性和周期性画出正切曲线。    3.通过正切函数图像与性质的探究,培养学生数形结合和类比的思想方法。三、教学重点、难点教学重点:正切函数的周期性、定义域、值域、奇偶性和单调性教学难点:画出正切曲线、能够应用正切曲线和性质解决相关问题。四、数学学科素养1.数学抽象:函数性质的总结;2.逻辑推理:从区间[0,π/2)上的局部图象,拓展到整个定义域上的图象;3.数学运算:运用函数性质解决问题;4.直观想象:从区间[0,π/2)上的局部图象,拓展到整个定义域上的图象;5.数学建模:画出正切曲线;五、教学分析:见《研讨素材二》研讨素材二5.4.3正切函数的性质与图象      通过前面的学习,学生对研究三角函数的性质有了一定的经验积累,教科书一开始设置“思考”,用两个间题引导学生对函数性质的研究经验进行概括总结,并尝试用不同的方法进行创造性的实践.     归纳起来可以有两种思路:一是先根据三角函数的定义,借助单位圆直接画出函数的图象,再利用图象直观研究函数的性质;二是以定义为出发点,先研究函数的部分性质,再结合定义和这些性质研究函数的图象,然后借助图象的观察进一步获得函数的其他性质。了解这些思路可以更有效地研究函数的图象与性质,全面深入地理解数形结合的思想。      由于一个角的正切值是这个角的终边与单位圆交点的坐标比值,难以直接利用正切值的几何意义对正切函数进行几何作图,对正切函数图象与正切定义之间的内在联系在理解上有一定的难度。为突破这一难点。教科书采用了第二种思路。对于正切函数的性质和图象。教科书呈现了如下的研究过程。      1.从研究周期性和奇偶性入手     根据诱导公式,先从代数角度获得正切函数的周期性和奇偶性,然后根据周期性和奇偶性。     将正切函数在整个定义域的图象和性质问题归结为区间[0,π/2)上的图象与性质。     2.函数y=tanx,x∈[0,π/2)的图象     教科书借助单位圆。寻求x∈[0,π/2)时正切值tanx的几何意义(即正切线),再在区间[0,π/2)上取点(如将区间6等分,得到自变量的取值为0,π/12,π/6,π/4,π/3,5π/12),从而画出正切函数图象上相应的特殊点,并用光滑曲线进行连接。教学时,应注意引导学生分析自变量从0趋向于π/2时,正切值的变化趋势,从而准确把握正切函数图象的形状特征。     3.利用奇偶性和周期性画出正切曲线     从区间[0,π/2)上的局部图象,拓展到整个定义域上的图象,既需要函数周期性和奇偶性的代数推理,也需要对图形特征的直观想象。     利用正切的几何意义画图,可以强化几何直观,突显正切函数的定义与函数图象之间的内在联系。这里只需借助坐标的几何意义,无需明确提出正切线的概念。     正切函数的图象被与y轴平行的一系列直线x=kπ+π/2,K∈Z,所隔开并无限逼近,关于这一事实,学生在认识上可能有困难。因此,教学时需紧紧围绕正切的定义并借助信息技术进行直观而细致的分析:首先是理现解正切的定义域{x|x≠kπ+π/2,K∈Z} 对于图象的几何意义;然后借助信息技术从几何直观、数值变化等多角度感受在区间[0,π/2)上,当x→π/2时,tanx→+∞的事实。     4.单调性    在观察图象的基础上,让学生自己归的概括出正切函数单调区间的一般形式,并写出函数的值域。     5.应用     例6研究了形如y=Atan(ωx+φ)的具体函数的定义域、周期及单调性等性质。采用变量代换(令z=πx/2十π/3)的方法可以将函数y=tan(πx/2十π/3)的性质转化为正切函数y=tanx的性质处理。高中生学习推荐:高中语文(微课+课件+教案+考点)汇总高中英语(微课+课件+教案+考点)汇总高中化学(微课+课件+教案+考点)汇总高中物理(微课+课件+教案+考点)汇总高中数学(微课+课件+教案+练习题)汇总高中生物(微课+课件+教案+练习题)汇总高中历史(必修+选修)微课精讲+考点汇总高中政治(必修+选修)微课精讲+考点汇总高中地理(必修+选修)微课精讲+考点汇总图文来自网络,版权归原作者,如有不妥,告知即删点击阅读原文下载全册PPT课件动画教案习题整套资料

APP观看

扫码安装,或者点击这里


.

1→ 统编教材配套课外阅读书籍

2→ 难懂的数学概念一眼看明白