建议使用浏览器Chrome, QQ浏览器
登录/注册
首页 目录 资料 实验室 电子课本 人教版 苏教版 鄂教版 留言反馈 排行榜 课件下载
高中数学《3.1 不等式性质》微课精讲+知识点+教案课件+习题 2021-06-14 16:33:30

语文

数学

英语

物理

化学

生物

史地

政治

道德与法治

美术

音乐

科学全部课程 ↓

知识点:

1.不等式的定义:a-b>0a>b, a-b=0a=b, a-b<0a<b。

① 其实质是运用实数运算来定义两个实数的大小关系。它是本章的基础,也是证明不等式与解不等式的主要依据。

②可以结合函数单调性的证明这个熟悉的知识背景,来认识作差法比大小的理论基础是不等式的性质。

作差后,为判断差的符号,需要分解因式,以便使用实数运算的符号法则。


2.不等式的性质:
① 不等式的性质可分为不等式基本性质和不等式运算性质两部分。

不等式基本性质有:
(1) a>bb<a (对称性)

(2) a>b, b>ca>c (传递性)
(3) a>ba+c>b+c (c∈R)
(4) c>0时,a>bac>bc
c<0时,a>bac<bc。

运算性质有:
  (1) a>b, c>da+c>b+d。
  (2) a>b>0, c>d>0ac>bd。
  (3) a>b>0an>bn (n∈N, n>1)。
  (4) a>b>0>(n∈N, n>1)。

应注意,上述性质中,条件与结论的逻辑关系有两种:“”和“”即推出关系和等价关系。一般地,证明不等式就是从条件出发施行一系列的推出变换。解不等式就是施行一系列的等价变换。因此,要正确理解和应用不等式性质。

② 关于不等式的性质的考察,主要有以下三类问题:
(1)根据给定的不等式条件,利用不等式的性质,判断不等式能否成立。
(2)利用不等式的性质及实数的性质,函数性质,判断实数值的大小。
(3)利用不等式的性质,判断不等式变换中条件与结论间的充分或必要关系。


视频教学:


练习:

1、 如果a>b>0,t>0,设M=,N=,那么(  )(5分)

A、 M<N
B、M>N
C、 M=N
D、 M与N的大小关系和t有关

2、 若1<x<2,则,,的大小关系正确的是(  )(5分)

A、
B、
C、
D、

正确答案

D

解析

解:设f(x)=
x+1
ex
,f′(x)=
ex−(x+1)ex
e2x
=−
x
ex

∴x>0时,f′(x)<0,∴f(x)在(0,+∞)上是减函数,
∵1<x<2,∴x2>1,且0<ln2<1,
∴ln2<x2,又x2-2x=x(x-2)<0,
∴x2<2x,∴ln2<x2<2x,
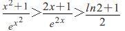
∴f(ln2)>f(x2)>f(2x),
ln2+1
2
x2+1
ex2
2x+1
e2x

故选:D.


3、 已知实数x,y满足x2-|x|y+16=0,若x≤-8,则y的最小值为(  )(5分)

A、8
B、10
C、12
D、16


课件:


教案:

【教学目标】

1.掌握不等式的三条基本性质以及推论,能够运用不等式的基本性质将不等式变形解决简单的问题.

2. 掌握应用作差比较法比较实数的大小.

3.通过教学,培养学生合作交流的意识和大胆猜想、乐于探究的良好思维品质.

【教学重点】

不等式的三条基本性质及其应用

【教学难点】

不等式基本性质3的探索与运用

【教学方法】

这节课主要采用讲练结合法与分组探究教学法.通过引导学生回顾玩跷跷板的经验,师生共同探究天平两侧物体的质量的大小,引导学生理性地认识不等式的三条基本性质,并运用作差比较法来证明之.通过题组训练,使学生逐步掌握不等式的基本性质,为后面运用不等式的基本性质解不等式打下理论基础.


【教学过程】

教学环节

教学内容

师生互动

设计意图

 

 

 

 

 

【课件展示情境1

创设天平情境问题:

观察课件,说出物体ac哪个质量更大一些?

由此判断:

如果abbc,那么ac的大小关系如何?

从学生身边的生活经验出发进行新知的学习,有助于调动学生学习的积极性.

 

 

 

 

 

 

 

 

 

 

 

 

 

 

 

 

 

 

 

 

 

 

 

 

 

 

 

 

 

 

 

 

 

 

 

 

 

 

 

 

 

 

 

 

 

 

 

 

 

 

 

性质1(传递性)

如果 abbc,则 ac

分析  要证ac,只要证 ac0

证明   因为  ac(ab)(bc)

又由   abbc,即   ab0bc0

所以   (ab)(bc)0

因此   ac0

     ac

【课件展示情境2

性质2(加法法则)

如果 ab,则 acbc

证明   因为  (ac)(bc)ab

又由   ab,即  ab0

所以   acbc

思考:如果 ab,那么 acbc.是否正确?

不等式的两边都加上(或减去)同一个数,不等号的方向不变.

推论1  如果 abc,则 acb

证明   因为  abc

所以   ab(b)c(b)

     acb

不等式中任何一项,变号后可以从一边移到另一边.

练习1

(1)在-62  的两边都加上9,得          

(2)4>-3  的两边都减去6,得          

(3)如果 ab,那么 a3      b3

(4)如果 x3,那么 x2      5

(5)如果 x79,那么两边都      ,得 x2

 

小组合作探究:

学生4人一组,把不等式52的两边同时乘以任意一个不为0的数,观察不等号的方向是否变化.

多试几次,你发现什么规律了吗?

 

性质3(乘法法则)

如果 abc0,那么 a cb c;如果 abc0,那么 a cb c

证明   因为  a cb c(ab)c

又由   ab,即  ab0

所以    c0时,(ab)c0,即  a cb c

所以    c0时,(ab)c0,即  a cb c

如果不等式两边都乘同一个正数,则不等号的方向不变,如果都乘同一个负数,则不等号的方向改变.

思考:如果 ab,那么a      b

练习2

(1)在-3<-2的两边都乘以2,得         

(2)1>-2的两边都乘以-3,得         

(3)如果 ab,那么-a       3 b

(4)如果 a0,那么 3 a        a

(5)如果 3 x>-9,那么 x      3

(6)如果-x9,那么 x       3

练习3 判断下列不等式是否成立,并说明理由.

(1) ab,则 a cb c                (   )

(2) a cb c,则 ab                (   )

(3) ab,则 a c2b c2               (   )

(4) a c2b c2,则 ab             (    )

(5) ab,则 a(c21)b(c21)      (   )

 

学生思考、回答得出性质1

 

 

 

 

 

引导学生判断:

不等式的两边都加上(或减去)同一个数,不等号的方向是否改变?

 

 

 

 

 

 

 

 

 

 

 

 

学生口答,教师点评.

 

 

 

 

学生猜想结果后,小组内合作探究、交流,教师巡回指导.

 

 

 

学生代表进行口答,其他学生评价.

 

 

 

 

 

练习23个小题由学生思考后口答;后3个小题同桌之间讨论,回答.

 

 

 

 

 

 

 

 

创设一种情境,给学生提供了想象的空间,为后续学习做好了铺垫.

让学生在数学中学数学,真正成为学习的主人.把课堂变为学生再发现、再创造的乐园.

 

 

 

对不等式的性质及时练习,进行巩固.

 

 

 

 

把猜想作为教学的出发点,启发学生积极思维,探索规律.

 

 

 

 

 

 

 

 

 

 

 

性质3学生容易出错,用练习及时巩固,通过相互评价学习效果,及时发现问题、解决知识盲点.

要点:不等式的三条基本性质.

方法:作差比较法.

注意点:不等式的两边同时乘以同一个负数时,不等号的方向必须改变.


回顾、总结、矫正、提高.帮助学生形成本节课的知识网络.

必做题:教材 P36,练习A组;

选做题:教材P37,练习B组.




高中生学习推荐:
高中化学(微课+课件+教案+考点)汇总
高中物理(微课+课件+教案+考点)汇总
高中数学(微课+课件+教案+练习题)汇总
高中地理(必修+选修)微课精讲+考点汇总
部编高中语文必修上册思维导图汇总下载
部编高中语文必修下册思维导图汇总下载

图文来自网络,版权归原作者,如有不妥,告知即删

点击阅读原文下载全册PPT课件动画教案习题整套资料

语文数学英语物理化学生物史地政治道德与法治美术音乐科学全部课程 ↓知识点:1.不等式的定义:a-b&gt;0a&gt;b, a-b=0a=b, a-b&lt;0a&lt;b。① 其实质是运用实数运算来定义两个实数的大小关系。它是本章的基础,也是证明不等式与解不等式的主要依据。②可以结合函数单调性的证明这个熟悉的知识背景,来认识作差法比大小的理论基础是不等式的性质。作差后,为判断差的符号,需要分解因式,以便使用实数运算的符号法则。2.不等式的性质:① 不等式的性质可分为不等式基本性质和不等式运算性质两部分。不等式基本性质有:(1) a&gt;bb&lt;a (对称性)(2) a&gt;b, b&gt;ca&gt;c (传递性)(3) a&gt;ba+c&gt;b+c (c∈R)(4) c&gt;0时,a&gt;bac&gt;bcc&lt;0时,a&gt;bac&lt;bc。运算性质有:  (1) a&gt;b, c&gt;da+c&gt;b+d。  (2) a&gt;b&gt;0, c&gt;d&gt;0ac&gt;bd。  (3) a&gt;b&gt;0an&gt;bn (n∈N, n&gt;1)。  (4) a&gt;b&gt;0&gt;(n∈N, n&gt;1)。应注意,上述性质中,条件与结论的逻辑关系有两种:“”和“”即推出关系和等价关系。一般地,证明不等式就是从条件出发施行一系列的推出变换。解不等式就是施行一系列的等价变换。因此,要正确理解和应用不等式性质。② 关于不等式的性质的考察,主要有以下三类问题:(1)根据给定的不等式条件,利用不等式的性质,判断不等式能否成立。(2)利用不等式的性质及实数的性质,函数性质,判断实数值的大小。(3)利用不等式的性质,判断不等式变换中条件与结论间的充分或必要关系。视频教学:练习:1、 如果a>b>0,t>0,设M=,N=,那么(  )(5分)A、 M<NB、M>NC、 M=ND、 M与N的大小关系和t有关2、 若1<x<2,则,,的大小关系正确的是(  )(5分)A、B、C、D、正确答案D解析解:设f(x)=x+1ex,f′(x)=ex−(x+1)exe2x=−xex,∴x>0时,f′(x)<0,∴f(x)在(0,+∞)上是减函数,∵1<x<2,∴x2>1,且0<ln2<1,∴ln2<x2,又x2-2x=x(x-2)<0,∴x2<2x,∴ln2<x2<2x,∴f(ln2)>f(x2)>f(2x),∴ln2+12>x2+1ex2>2x+1e2x.故选:D.3、 已知实数x,y满足x2-|x|y+16=0,若x≤-8,则y的最小值为(  )(5分)A、8B、10C、12D、16课件:教案:【教学目标】1.掌握不等式的三条基本性质以及推论,能够运用不等式的基本性质将不等式变形解决简单的问题.2. 掌握应用作差比较法比较实数的大小.3.通过教学,培养学生合作交流的意识和大胆猜想、乐于探究的良好思维品质.【教学重点】不等式的三条基本性质及其应用.【教学难点】不等式基本性质3的探索与运用.【教学方法】这节课主要采用讲练结合法与分组探究教学法.通过引导学生回顾玩跷跷板的经验,师生共同探究天平两侧物体的质量的大小,引导学生理性地认识不等式的三条基本性质,并运用作差比较法来证明之.通过题组训练,使学生逐步掌握不等式的基本性质,为后面运用不等式的基本性质解不等式打下理论基础.【教学过程】教学环节教学内容师生互动设计意图    导 入【课件展示情境1】创设天平情境问题:观察课件,说出物体a和c哪个质量更大一些?由此判断:如果a>b,b>c,那么a和c的大小关系如何?从学生身边的生活经验出发进行新知的学习,有助于调动学生学习的积极性. 新课           新  课                          新  课         性质1(传递性)如果 a>b,b>c,则 a>c.分析  要证a>c,只要证 a-c>0.证明   因为  a-c=(a-b)+(b-c),又由   a>b,b>c,即   a-b>0,b-c>0,所以   (a-b)+(b-c)>0.因此   a-c>0.即     a>c.【课件展示情境2】性质2(加法法则)如果 a>b,则 a+c>b+c.证明   因为  (a+c)-(b+c)=a-b,又由   a>b,即  a-b>0,所以   a+c>b+c.思考:如果 a>b,那么 a-c>b-c.是否正确?不等式的两边都加上(或减去)同一个数,不等号的方向不变.推论1  如果 a+b>c,则 a>c-b.证明   因为  a+b>c,所以   a+b+(-b)>c+(-b),即     a>c-b.不等式中任何一项,变号后可以从一边移到另一边.练习1(1)在-6<2  的两边都加上9,得          ;(2)在4>-3  的两边都减去6,得          ;(3)如果 a<b,那么 a-3      b-3;(4)如果 x>3,那么 x+2      5;(5)如果 x+7>9,那么两边都      ,得 x>2. 小组合作探究:学生4人一组,把不等式5>2的两边同时乘以任意一个不为0的数,观察不等号的方向是否变化.多试几次,你发现什么规律了吗? 性质3(乘法法则)如果 a>b,c>0,那么 a c>b c;如果 a>b,c<0,那么 a c<b c.证明   因为  a c-b c=(a-b)c,又由   a>b,即  a-b>0,所以   当 c>0时,(a-b)c>0,即  a c>b c;所以   当 c<0时,(a-b)c<0,即  a c<b c.如果不等式两边都乘同一个正数,则不等号的方向不变,如果都乘同一个负数,则不等号的方向改变.思考:如果 a>b,那么-a      -b.练习2(1)在-3<-2的两边都乘以2,得         ;(2)在1>-2的两边都乘以-3,得         ;(3)如果 a>b,那么-3 a       -3 b;(4)如果 a<0,那么 3 a        5 a;(5)如果 3 x>-9,那么 x      -3;(6)如果-3 x>9,那么 x       -3.练习3 判断下列不等式是否成立,并说明理由.(1)若 a<b,则 a c<b c.                (   )(2)若 a c>b c,则 a>b.                (   )(3)若 a>b,则 a c2>b c2.               (   )(4)若 a c2>b c2,则 a>b.             (    )(5)若 a>b,则 a(c2+1)>b(c2+1) .     (   ) 学生思考、回答得出性质1.     引导学生判断:不等式的两边都加上(或减去)同一个数,不等号的方向是否改变?            学生口答,教师点评.    学生猜想结果后,小组内合作探究、交流,教师巡回指导.   学生代表进行口答,其他学生评价.     练习2前3个小题由学生思考后口答;后3个小题同桌之间讨论,回答.        创设一种情境,给学生提供了想象的空间,为后续学习做好了铺垫.让学生在“做”数学中学数学,真正成为学习的主人.把课堂变为学生再发现、再创造的乐园.   对不等式的性质及时练习,进行巩固.    把猜想作为教学的出发点,启发学生积极思维,探索规律.           性质3学生容易出错,用练习及时巩固,通过相互评价学习效果,及时发现问题、解决知识盲点.小结要点:不等式的三条基本性质.方法:作差比较法.注意点:不等式的两边同时乘以同一个负数时,不等号的方向必须改变.回顾、总结、矫正、提高.帮助学生形成本节课的知识网络.作业必做题:教材 P36,练习A组;选做题:教材P37,练习B组.高中生学习推荐:高中化学(微课+课件+教案+考点)汇总高中物理(微课+课件+教案+考点)汇总高中数学(微课+课件+教案+练习题)汇总高中地理(必修+选修)微课精讲+考点汇总部编高中语文必修上册思维导图汇总下载部编高中语文必修下册思维导图汇总下载图文来自网络,版权归原作者,如有不妥,告知即删点击阅读原文下载全册PPT课件动画教案习题整套资料

APP观看

扫码安装,或者点击这里


.

1→ 统编教材配套课外阅读书籍

2→ 难懂的数学概念一眼看明白