建议使用浏览器Chrome, QQ浏览器
登录/注册
首页 目录 资料 实验室 电子课本 人教版 苏教版 鄂教版 留言反馈 排行榜 课件下载
高中数学《2.1 必要条件与充分条件》微课精讲+知识点+教案课件+习题 2021-06-14 16:33:30

语文

数学

英语

物理

化学

生物

史地

政治

道德与法治

美术

音乐

科学全部课程 ↓

知识点:

一、定义



当命题“若 A 则 B”为真时,A 称为 B 的充分条件,B 称为 A 的必要条件。




二、常用判断法



1.定义法

判断B是A的条件,实际上就是判断B=>A或者A=>B是否成立,只要把题目中所给的条件按逻辑关系画出箭头示意图,再利用定义判断即可。


2.转换法

当所给命题的充要条件不易判断时,可对命题进行等价装换,例如改用其逆否命题进行判断。


3.集合法

在命题的条件和结论间的关系判断有困难时,可从集合的角度考虑,记条件p、q对应的集合分别为A、B,则: 

若A⊆ B,则p是q的充分条件。 

若A⊇B,则p是q的必要条件。

若A=B,则p是q的充要条件。 

若A ⊈B,且B⊉A,则p是q的既不充分也不必要条件。




三、知识扩展



1.四种命题反映出命题之间的内在联系,要注意结合实际问题,理解其关系(尤其是两种等价关系)的产生过程,关于逆命题、否命题与逆否命题,也可以叙述为:

(1)交换命题的条件和结论,所得的新命题就是原来命题的逆命题; 

(2)同时否定命题的条件和结论,所得的新命题就是原来的否命题; 

(3)交换命题的条件和结论,并且同时否定,所得的新命题就是原命题的逆否命题。 


2.由于“充分条件与必要条件”是四种命题的关系的深化,他们之间存在这密切的联系,故在判断命题的条件的充要性时,可考虑“正难则反”的原则,即在正面判断较难时,可转化为应用该命题的逆否命题进行判断。一个结论成立的充分条件可以不止一个,必要条件也可以不止一个。


视频教学:


练习:

1{an}是公比为q的等比数列,则q>1”{an}为递增数列的( )
A.充分而不必要条件
B.必要而不充分条件
C.充分必要条件
D.既不充分也不必要条件


解析:

D 
当数列{an}的首项a10时,若q1,则数列{an}是递减数列;当数列{an}的首项a10时,要使数列{an}为递增数列,则0q1,所以q1数列{an}为递增数列的既不充分也不必要条件.故选D.

2设甲、乙、丙是三个命题,如果甲是乙的必要条件,丙是乙的充分条件但不是乙的必要条件,那么( )
A.丙是甲的充分条件,但不是甲的必要条件
B.丙是甲的必要条件,但不是甲的充分条件
C.丙是甲的充要条件
D.丙既不是甲的充分条件,也不是甲的必要条件


解析:

A 
因为甲是乙的必要条件,所以乙甲.
又因为丙是乙的充分条件,但不是乙的必要条件,所以丙乙,但乙
丙,如图.
综上,有丙甲,但甲丙,
即丙是甲的充分条件,但不是甲的必要条件.
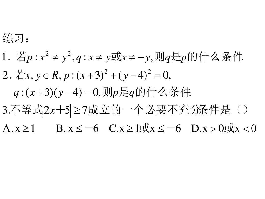
3ab都是非零向量,下列四个条件中,使|a|a|b|b成立的充分条件是( )
Aa=-bBab
Ca2b  Dab|a||b|


解析:
C 
对于A,当a=-b时,|a|a|b|b;对于B,注意当ab时,|a|a|b|b可能不相等;对于C,当a2b时,|a|a|2b|2b|b|b;对于D,当ab,且|a||b|时,可能有a=-b,此时|a|a|b|b.综上所述,使|a|a|b|b成立的充分条件是a2b.

4φR,则φ0f(x)cos(xφ)(xR)为偶函数的( )
A.充分不必要条件
B.必要不充分条件
C.充分必要条件
D.既不充分也不必要条件


解析:

Aφ0时,函数f(x)cos(xφ)cos x是偶函数,
f(x)cos(xφ)是偶函数时,φπkπ(kZ)
φ0函数f(x)cos(xφ)为偶函数的充分不必要条件.

5使|x|x成立的一个必要不充分条件是()
Ax 
Bx2x
Clog2(x1)>0  
D2x<1

解析:

B
|x|xx0
选项A是充要条件.选项CD均不符合题意.
对于选项Bx2xx(x1)0
x0x1.
故选项B是使|x|x成立的必要不充分条件.

课件:


教案:

教材分析

本节内容比较抽象首先从命题出发,分清命题的条件和结论,看条件能否推出结论,从而判断命题的真假;然后从命题出发结合实例引出充分条件必要条件充要条件这三个概念,再详细讲述概念,最后再应用概念进行论证.

教学目标与核心素养 

课程目标

1.理解充分条件、必要条件与充要条件的意义. 

2.结合具体命题掌握判断充分条件、必要条件、充要条件的方法. 

3.能够利用命题之间的关系判定充要关系或进行充要性的证明.

数学学科素养

1.数学抽象:充分条件、必要条件与充要条件含义的理解;

2.逻辑推理:通过命题的判定得出充分条件、必要条件的含义,通过定义或集合关系进行充分条件、必要条件、充要条件的判断;

3.数学运算:利用充分、必要条件求参数的范围,常见包含一元二次方程及其不等式和不等式组;

4.数据分析:充要条件的探求与证明:将原命题进行等价变形或转换,直至获得其成立的充要条件,探求的过程同时也是证明的过程

5.数学建模:通过对充分条件、必要条件的概念的理解和运用,培养学生分析、判断和归纳的逻辑思维能力

教学重难点 

重点:充分条件、必要条件、充要条件的概念.

难点:能够利用命题之间的关系判定充要关系

 课前准备

教学方法以学生为主体,采用诱思探究式教学精讲多练

教学工具多媒体

 教学过程

一、 问题导入:

写出下列两个命题的条件和结论,并判断是真命题还是假命题?

(1)若x > a2  + b2,则x > 2ab,      (2)若ab = 0,则a = 0.

学生容易得出结论;命题(1)为真命题,命题(2)为假命题.

提问:对于命题“若p,则q”,有时是真命题,有时是假命题.如何判断其真假的?

结论:看p能不能推出q,如果p能推出q,则原命题是真命题,否则就是假命题.

要求:让学生自由发言,教师不做判断。而是引导学生进一步观察.研探.

二、 预习课本,引入新课

阅读课本17-22页,思考并完成以下问题

1. 什么是充分条件

2. 什么是必要条件?

3. 什么是充要条件

5. 什么是充分不必要条件

6. 什么是必要不充分条件

7. 什么是既不充分也不必要条件

要求:学生独立完成,以小组为单位,组内可商量,最终选出代表回答问题,教师巡视指导,解答学生在自主学习中遇到的困惑过程。

三、新知探究,知识梳理

1.充分条件与必要条件

命题真假

“若p,则q”是真命题

“若p,则q”是假命题

推出关系

pq


条件关系

pq充分条件

qp必要条件

p不是q充分条件

q不是p必要条件

2. 充要条件

一般地,如果既有pq,又有qp,就记作pq.此时,我们说p是q的充分必要条件,简称充要条件.显然,如果p是q的充要条件,那么q也是p的充要条件,即如果pq,那么p与q互为充要条件.

概括地说,(1)如果pq,那么pq互为充要条件.

3.从集合角度看充分、必要条件 

四、典例分析、举一反三

题型一    充分条件、必要条件、充要条件的判断

例1  指出下列各题中,pq的什么条件(在“充分不必要条件”“必要不充分条件”“充要条件”“既不充分也不必要条件”中选出一种作答)

(1)在△ABC中,p:∠A>BqBC>AC

(2)对于实数xypxy8qx2y6

(3)p(a2)(a3)0qa3

【答案】见解析

【解析】(1)在△ABC中,显然有∠A>∠BBC>AC,所以pq的充分必要条件.

(2)因为x=2且y=6xy=8,即qp,但pq,所以pq的充分不必要条件.

(3)由(a-2)(a-3)=0可以推出a=2或a=3,不一定有a=3;由a=3可以得出(a-2)(a-3)=0.因此,pq的必要不充分条件.

因此pq的既不充分也不必要条件.

 

解题技巧:(充分条件与必要条件的判断方法)

(1)定义法

(2)集合法

对于集合A={x|x满足条件p},B={x|x满足条件q},具体情况如下:

ABpq的充分条件;

ABpq的必要条件;

AB,则pq的充要条件;

AB,则pq的充分不必要条件;

BA,则pq的必要不充分条件. 

(3)等价法

等价转化法就是在判断含有与“否”有关命题条件之间的充要关系时,根据原命题与其逆否命题的等价性转化为形式较为简单的两个条件之间的关系进行判断.

跟踪训练一

1.设ab是实数,则“a>b”是“a2>b2”的(  )

A.充分不必要条件

B.必要不充分条件

C.充分必要条件

D.既不充分也不必要条件

【答案】D

题型二   充要条件的探求与证明

2 (1)“x2-4x<0”的一个充分不必要条件为(  )

A.0<x<4       B.0<x<2

C.x>0         D.x<4

【答案】(1)B    2)见解析

解题技巧:(探求充要条件一般有两种方法)

(1)探求A成立的充要条件时,先将A视为条件,并由A推导结论(设为B),再证明B是A的充分条件,这样就能说明A成立的充要条件是B,即从充分性和必要性两方面说明.

(2)将原命题进行等价变形或转换,直至获得其成立的充要条件,探求的过程同时也是证明的过程,因为探求过程每一步都是等价的,所以不需要将充分性和必要性分开来说明.

跟踪训练二

2.(1)不等式x(x-2)<0成立的一个必要不充分条件是(  )

A.x∈(0,2)     B.x∈[-1,+∞)

C.x∈(0,1)       D.x∈(1,3)

(2)求证:关于x的方程ax2bxc=0有一个根是1的充要条件是abc=0.

【答案】 (1)B     (2)见解析

【解析】(1)x(x-2)<0得0<x<2,因为(0,2) [-1,+∞),所以“x∈[-1,+∞)”是“不等式x(x-2)<0成立”的一个必要不充分条件.

(2)证明 假设p:方程ax2bxc=0有一个根是1,qabc=0.

①证明pq,即证明必要性.

x=1是方程ax2bxc=0的根,∴a·12b·1+c=0,即abc=0.

②证明qp,即证明充分性.

abc=0,得c=-ab.

ax2bxc=0,∴ax2bxab=0,

a(x2-1)+b(x-1)=0.故(x-1)(axab)=0.

x=1是方程的一个根.

故方程ax2bxc=0有一个根是1的充要条件是abc=0.

题型三    利用充分、必要条件求参数的范围

3  已知px2-8x-20≤0,qx2-2x+1-m2≤0(m>0),且pq的充分不必要条件,则实数m的取值范围为____

【答案】{m|m≥9}(或[9,+∞))

【解析】 由x2-8x-20≤0,得-2≤x≤10,由x2-2x+1-m2≤0(m>0),

得1-mx≤1+m(m>0).

因为pq的充分不必要条件,所以pqq/p.

即{x|-2≤x≤10}是{x|1-mx≤1+mm>0}的真子集,

变式. [变条件] 【例3本例中“pq的充分不必要条件”改为“pq的必要不充分条件”,其他条件不变,试求m的取值范围.

【答案】见解析

解题技巧:(利用充分、必要、充分必要条件的关系求参数范围)

(1)化简pq两命题,

(2)根据pq的关系(充分、必要、充要条件)转化为集合间的关系,

(3)利用集合间的关系建立不等关系,

(4)求解参数范围.

跟踪训练三

3.已知P={x|a-4<x<a+4},Q={x|1<x<3},“xP”是“xQ”的必要条件,求实数a的取值范围.

【答案】见解析

【解析】因为“xP”是xQ的必要条件,所以QP.

五、课堂小结

学生总结本节课所学主要知识及解题技巧

六、板书设计 


七、作业

课本23页习题1.4

 教学反思

因为涉及到的知识点比较多,且知识点较繁琐,且新概念比较抽象,因此本节学习过程中,一定让学生多多参加,并且在解题技巧方面先让学生自己总结,教师再补充说明。


高中生学习推荐:
高中化学(微课+课件+教案+考点)汇总
高中物理(微课+课件+教案+考点)汇总
高中数学(微课+课件+教案+练习题)汇总
高中地理(必修+选修)微课精讲+考点汇总
部编高中语文必修上册思维导图汇总下载
部编高中语文必修下册思维导图汇总下载


图文来自网络,版权归原作者,如有不妥,告知即删

点击阅读原文下载全册PPT课件动画教案习题整套资料

语文数学英语物理化学生物史地政治道德与法治美术音乐科学全部课程 ↓知识点:一、定义当命题“若 A 则 B”为真时,A 称为 B 的充分条件,B 称为 A 的必要条件。二、常用判断法1.定义法判断B是A的条件,实际上就是判断B=&gt;A或者A=&gt;B是否成立,只要把题目中所给的条件按逻辑关系画出箭头示意图,再利用定义判断即可。2.转换法当所给命题的充要条件不易判断时,可对命题进行等价装换,例如改用其逆否命题进行判断。3.集合法在命题的条件和结论间的关系判断有困难时,可从集合的角度考虑,记条件p、q对应的集合分别为A、B,则: 若A⊆ B,则p是q的充分条件。 若A⊇B,则p是q的必要条件。若A=B,则p是q的充要条件。 若A ⊈B,且B⊉A,则p是q的既不充分也不必要条件。三、知识扩展1.四种命题反映出命题之间的内在联系,要注意结合实际问题,理解其关系(尤其是两种等价关系)的产生过程,关于逆命题、否命题与逆否命题,也可以叙述为:(1)交换命题的条件和结论,所得的新命题就是原来命题的逆命题; (2)同时否定命题的条件和结论,所得的新命题就是原来的否命题; (3)交换命题的条件和结论,并且同时否定,所得的新命题就是原命题的逆否命题。 2.由于“充分条件与必要条件”是四种命题的关系的深化,他们之间存在这密切的联系,故在判断命题的条件的充要性时,可考虑“正难则反”的原则,即在正面判断较难时,可转化为应用该命题的逆否命题进行判断。一个结论成立的充分条件可以不止一个,必要条件也可以不止一个。视频教学:练习:1.设{an}是公比为q的等比数列,则“q&gt;1”是“{an}为递增数列”的( )A.充分而不必要条件B.必要而不充分条件C.充分必要条件D.既不充分也不必要条件解析:选D 当数列{an}的首项a1<0时,若q>1,则数列{an}是递减数列;当数列{an}的首项a1<0时,要使数列{an}为递增数列,则0<q<1,所以“q>1”是“数列{an}为递增数列”的既不充分也不必要条件.故选D.2.设甲、乙、丙是三个命题,如果甲是乙的必要条件,丙是乙的充分条件但不是乙的必要条件,那么( )A.丙是甲的充分条件,但不是甲的必要条件B.丙是甲的必要条件,但不是甲的充分条件C.丙是甲的充要条件D.丙既不是甲的充分条件,也不是甲的必要条件解析:选A 因为甲是乙的必要条件,所以乙⇒甲.又因为丙是乙的充分条件,但不是乙的必要条件,所以丙⇒乙,但乙丙,如图.综上,有丙⇒甲,但甲丙,即丙是甲的充分条件,但不是甲的必要条件.3.设a,b都是非零向量,下列四个条件中,使|a|a=|b|b成立的充分条件是( )A.a=-bB.a∥bC.a=2b  D.a∥b且|a|=|b|解析:选C 对于A,当a=-b时,|a|a≠|b|b;对于B,注意当a∥b时,|a|a与|b|b可能不相等;对于C,当a=2b时,|a|a=|2b|2b=|b|b;对于D,当a∥b,且|a|=|b|时,可能有a=-b,此时|a|a≠|b|b.综上所述,使|a|a=|b|b成立的充分条件是a=2b.4.设φ∈R,则“φ=0”是“f(x)=cos(x+φ)(x∈R)为偶函数”的( )A.充分不必要条件B.必要不充分条件C.充分必要条件D.既不充分也不必要条件解析:选Aφ=0时,函数f(x)=cos(x+φ)=cos x是偶函数,而f(x)=cos(x+φ)是偶函数时,φ=π+kπ(k∈Z).故“φ=0”是“函数f(x)=cos(x+φ)为偶函数”的充分不必要条件.5.使|x|=x成立的一个必要不充分条件是()A.x≥0  B.x2≥-xC.log2(x+1)&gt;0  D.2x&lt;1解析:选B∵|x|=x⇔x≥0,∴选项A是充要条件.选项C,D均不符合题意.对于选项B,∵由x2≥-x得x(x+1)≥0,∴x≥0或x≤-1.故选项B是使|x|=x成立的必要不充分条件.课件:教案:教材分析本节内容比较抽象,首先从命题出发,分清命题的条件和结论,看条件能否推出结论,从而判断命题的真假;然后从命题出发结合实例引出充分条件、必要条件、充要条件这三个概念,再详细讲述概念,最后再应用概念进行论证.教学目标与核心素养 课程目标1.理解充分条件、必要条件与充要条件的意义. 2.结合具体命题掌握判断充分条件、必要条件、充要条件的方法. 3.能够利用命题之间的关系判定充要关系或进行充要性的证明.数学学科素养1.数学抽象:充分条件、必要条件与充要条件含义的理解;2.逻辑推理:通过命题的判定得出充分条件、必要条件的含义,通过定义或集合关系进行充分条件、必要条件、充要条件的判断;3.数学运算:利用充分、必要条件求参数的范围,常见包含一元二次方程及其不等式和不等式组;4.数据分析:充要条件的探求与证明:将原命题进行等价变形或转换,直至获得其成立的充要条件,探求的过程同时也是证明的过程;5.数学建模:通过对充分条件、必要条件的概念的理解和运用,培养学生分析、判断和归纳的逻辑思维能力。教学重难点 重点:充分条件、必要条件、充要条件的概念..难点:能够利用命题之间的关系判定充要关系. 课前准备教学方法:以学生为主体,采用诱思探究式教学,精讲多练。教学工具:多媒体。 教学过程一、 问题导入:写出下列两个命题的条件和结论,并判断是真命题还是假命题?(1)若x > a2  + b2,则x > 2ab,      (2)若ab = 0,则a = 0.学生容易得出结论;命题(1)为真命题,命题(2)为假命题.提问:对于命题“若p,则q”,有时是真命题,有时是假命题.如何判断其真假的?结论:看p能不能推出q,如果p能推出q,则原命题是真命题,否则就是假命题.要求:让学生自由发言,教师不做判断。而是引导学生进一步观察.研探.二、 预习课本,引入新课阅读课本17-22页,思考并完成以下问题1. 什么是充分条件?2. 什么是必要条件?3. 什么是充要条件?5. 什么是充分不必要条件?6. 什么是必要不充分条件?7. 什么是既不充分也不必要条件?要求:学生独立完成,以小组为单位,组内可商量,最终选出代表回答问题,教师巡视指导,解答学生在自主学习中遇到的困惑过程。三、新知探究,知识梳理1.充分条件与必要条件命题真假“若p,则q”是真命题“若p,则q”是假命题推出关系p⇒q条件关系p是q的充分条件q是p的必要条件p不是q的充分条件q不是p的必要条件2. 充要条件一般地,如果既有p⇒q,又有q⇒p,就记作p⇔q.此时,我们说p是q的充分必要条件,简称充要条件.显然,如果p是q的充要条件,那么q也是p的充要条件,即如果p⇔q,那么p与q互为充要条件.概括地说,(1)如果p⇔q,那么p与q互为充要条件.3.从集合角度看充分、必要条件 四、典例分析、举一反三题型一    充分条件、必要条件、充要条件的判断例1  指出下列各题中,p是q的什么条件(在“充分不必要条件”“必要不充分条件”“充要条件”“既不充分也不必要条件”中选出一种作答).(1)在△ABC中,p:∠A&gt;∠B,q:BC&gt;AC;(2)对于实数x,y,p:x+y≠8,q:x≠2或y≠6;(3)p:(a-2)(a-3)=0,q:a=3;【答案】见解析【解析】(1)在△ABC中,显然有∠A&gt;∠B⇔BC&gt;AC,所以p是q的充分必要条件.(2)因为x=2且y=6⇒x+y=8,即﹁q⇒﹁p,但﹁p⇒﹁q,所以p是q的充分不必要条件.(3)由(a-2)(a-3)=0可以推出a=2或a=3,不一定有a=3;由a=3可以得出(a-2)(a-3)=0.因此,p是q的必要不充分条件.因此p是q的既不充分也不必要条件. 解题技巧:(充分条件与必要条件的判断方法)(1)定义法(2)集合法对于集合A={x|x满足条件p},B={x|x满足条件q},具体情况如下:若A⊆B,则p是q的充分条件;若A⊇B,则p是q的必要条件;若A=B,则p是q的充要条件;若A⫋B,则p是q的充分不必要条件;若B⫋A,则p是q的必要不充分条件. (3)等价法等价转化法就是在判断含有与“否”有关命题条件之间的充要关系时,根据原命题与其逆否命题的等价性转化为形式较为简单的两个条件之间的关系进行判断.跟踪训练一1.设a,b是实数,则“a&gt;b”是“a2&gt;b2”的(  )A.充分不必要条件B.必要不充分条件C.充分必要条件D.既不充分也不必要条件【答案】D题型二   充要条件的探求与证明例2 (1)“x2-4x&lt;0”的一个充分不必要条件为(  )A.0&lt;x&lt;4       B.0&lt;x&lt;2C.x&gt;0         D.x&lt;4【答案】(1)B    (2)见解析解题技巧:(探求充要条件一般有两种方法)(1)探求A成立的充要条件时,先将A视为条件,并由A推导结论(设为B),再证明B是A的充分条件,这样就能说明A成立的充要条件是B,即从充分性和必要性两方面说明.(2)将原命题进行等价变形或转换,直至获得其成立的充要条件,探求的过程同时也是证明的过程,因为探求过程每一步都是等价的,所以不需要将充分性和必要性分开来说明.跟踪训练二2.(1)不等式x(x-2)&lt;0成立的一个必要不充分条件是(  )A.x∈(0,2)     B.x∈[-1,+∞)C.x∈(0,1)       D.x∈(1,3)(2)求证:关于x的方程ax2+bx+c=0有一个根是1的充要条件是a+b+c=0.【答案】 (1)B     (2)见解析【解析】(1)由x(x-2)&lt;0得0&lt;x&lt;2,因为(0,2) ⫋[-1,+∞),所以“x∈[-1,+∞)”是“不等式x(x-2)&lt;0成立”的一个必要不充分条件.(2)证明 假设p:方程ax2+bx+c=0有一个根是1,q:a+b+c=0.①证明p⇒q,即证明必要性.∵x=1是方程ax2+bx+c=0的根,∴a·12+b·1+c=0,即a+b+c=0.②证明q⇒p,即证明充分性.由a+b+c=0,得c=-a-b.∵ax2+bx+c=0,∴ax2+bx-a-b=0,即a(x2-1)+b(x-1)=0.故(x-1)(ax+a+b)=0.∴x=1是方程的一个根.故方程ax2+bx+c=0有一个根是1的充要条件是a+b+c=0.题型三    利用充分、必要条件求参数的范围例3  已知p:x2-8x-20≤0,q:x2-2x+1-m2≤0(m&gt;0),且p是q的充分不必要条件,则实数m的取值范围为____【答案】{m|m≥9}(或[9,+∞))【解析】 由x2-8x-20≤0,得-2≤x≤10,由x2-2x+1-m2≤0(m&gt;0),得1-m≤x≤1+m(m&gt;0).因为p是q的充分不必要条件,所以p⇒q且q/⇒p.即{x|-2≤x≤10}是{x|1-m≤x≤1+m,m&gt;0}的真子集,变式. [变条件] 【例3】本例中“p是q的充分不必要条件”改为“p是q的必要不充分条件”,其他条件不变,试求m的取值范围.【答案】见解析解题技巧:(利用充分、必要、充分必要条件的关系求参数范围)(1)化简p、q两命题,(2)根据p与q的关系(充分、必要、充要条件)转化为集合间的关系,(3)利用集合间的关系建立不等关系,(4)求解参数范围.跟踪训练三3.已知P={x|a-4&lt;x&lt;a+4},Q={x|1&lt;x&lt;3},“x∈P”是“x∈Q”的必要条件,求实数a的取值范围.【答案】见解析【解析】因为“x∈P”是x∈Q的必要条件,所以Q⊆P.五、课堂小结让学生总结本节课所学主要知识及解题技巧六、板书设计 七、作业课本23页习题1.4 教学反思因为涉及到的知识点比较多,且知识点较繁琐,且新概念比较抽象,因此本节学习过程中,一定让学生多多参加,并且在解题技巧方面先让学生自己总结,教师再补充说明。高中生学习推荐:高中化学(微课+课件+教案+考点)汇总高中物理(微课+课件+教案+考点)汇总高中数学(微课+课件+教案+练习题)汇总高中地理(必修+选修)微课精讲+考点汇总部编高中语文必修上册思维导图汇总下载部编高中语文必修下册思维导图汇总下载图文来自网络,版权归原作者,如有不妥,告知即删点击阅读原文下载全册PPT课件动画教案习题整套资料

APP观看

扫码安装,或者点击这里


.

1→ 统编教材配套课外阅读书籍

2→ 难懂的数学概念一眼看明白