建议使用浏览器Chrome, QQ浏览器
登录/注册
首页 目录 资料 实验室 电子课本 人教版 苏教版 鄂教版 留言反馈 排行榜 课件下载
高中数学《1.3 集合的基本运算》微课精讲+知识点+教案课件+习题 2021-06-13 16:47:24

语文

数学

英语

物理

化学

生物

史地

政治

道德与法治

美术

音乐

科学全部课程 ↓

知识点:

一、并集


1、自然语言:

一般地,由所有属于集合A或属于集合B的元素组成的集合,称为集合A与集合B的并集,记作AUB,读作“A并B”。


2、符号语言:


3、图形语言(用Venn图表示并集):

图中阴影部分表示两个集合的并集。



4、对并集的理解

(1)求两个集合的并集是集合的一种运算,结果仍是一个集合,它是由属于集合A或集合B的元素组成的。

(2)并集概念中的“或”指的是只要满足其中一个条件即可,符号语言“x∈A,或x ∈B”分为三种情况:①x∈A,但x∉B;②x∉A,但x∈B;③x∈A,且x∈B。

(3)根据集合元素的互异性,在求两个集合的并集时,两个集合中的公共元素在并集中只能出现一次。


5、并集的性质


6、求并集的方法

(1)求两个有限集的并集――按照并集的定义进行计算,但要特别注意集合元素的互异性。

(2)求两个无限集的并集,借助于数轴进行计算,注意两个集合的并集等于这两个集合在数轴上对应的图形所覆盖的全部范围。

二、交集

1、自然语言:

一般地,由属于集合A且属于集合B的所有元素组成的集合,称为集合A与集合B的交集,记作A∩B,读作“A交B"。


2、符号语言:


3、图形语言:(用Venn图表示交集)

图中阴影部分表示两个集合的并集。


4、对交集的理解

(1)求两个集合的交集是集合的一种运算,结果仍是一个集合,它是由属于集合A且属于集合B的所有元素组成的集合,及两个集合的公共元素所组成的集合。

(2)交集概念中的“所有”二字不能省略,否则会漏掉一些元素,一定要将两个集合中的相同元素(公共元素)全部找出来。

(3)当集合A与集合B没有公共元素时,不能说集合4与集合B没有交集,而是交集为空集。


5、交集的性质


6、求交集的方法

(1)求两个有限集的交集旳按照交集的定义进行计算,但要特别注意一定要找出两个集合中的所有公共元素。

(2)求两个无限集的交集,借助于数轴进行计算,两个集合的解集等于这两个集合在数轴上对应的图形所覆盖的公共范围。


三、全集与补集


1、全集:

一般地,如果一个集合含有我们所研究问题中涉及的所有元素,那么就称这个集合为全集,记作U。


2、补集:

对于一个集合A,由全集U中不属于A的所有元素组成的集合称为集合A相对于全集U的补集,简称集合A的补集,记作CuA,即

用Venn图表示为:


3、对补集的理解

(1)补集是相对于全集而言的,求一个集合的补集,结果因全集的不同而不同,所以求补集前,要先明确全集。

(2)补集既是集合间的一种关系,同时也是集合之间的一种运算。

(3)符号“CuA"有三层意思:

补集的性质:


四、德·摩根定律


集合运算中的两个重要等式,即德·摩根定律(图解)。



视频教学:


练习:

1.【2015吉林三模】设全集U=N*,A={2,3,6,8,9},B={x|x>3,x∈N*},则图中阴影部分所表示的集合是(  ) 
  
 A.{2}  B.{2,3} C.{1,2,3}  D.{6,8,9} 
【答案】B 
【解析】A∩B={6,8,9},所以图中阴影部分所表示的集合是{2,3},故选B. 

2.【2015高考四川,理1】设集合A={x|(x+1)(x-2)<0},集合B={x|1<x<3},则A∪B=(  ) 
 A.{x|-1<x<3}  B.{x|-1<x<1} 
 C.{x|1<x<2}   D.{x|2<x<3} 
【答案】A 
【解析】A={x|-1<x<2},B={x|1<x<3},∴A∪B={x|-1<x<3},故选A. 

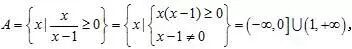
3.集合,B={y|y=2x+1,x∈R},则CR(A∩B)=(  ) 
 A.(-∞,1]  B. (-∞,1)  C. (0,1]  D. [0,1] 
【答案】A 
【解析】 
  
  B={y|y=2x+1,x∈R}=(1,+∞) 
  ∴A∩B=(1,+∞),CR(A∩B)=(-∞,1],故选A. 

4.已知集合A={x|x>1},B={x|x<m},且A∪B=R,那么m的值可以是(  ) 
 A.-1  B.0  C.1   D.2 
【答案】D 
【解析】∵A∪B=R,A={x|x>1}∴B={x|x<m}要包含所有的小于等于1的实数,因此m>1,故选D. 

5.若集合M={x|x2+x-6=0},N={x|ax-1=0},且N∪M=M,则实数a的值为________. 
【答案】0或-1/3或1/2 
【解析】 
  M={x|x2+x-6=0}={-3,2},由题意 
  当a=0时,; 
  当a≠0时,N={1/a},要使,则1/a=-3或2,解得a=-1/3或1/2.
  综上所述,实数a的值是-1/3或1/2或0. 


课件:


教案:

学 习 目 标

核 心 素 养

1.了解全集的含义及其符号表示(易混点)

2理解给定集合中一个子集的补集的含义并会求给定子集的补集(重点难点)

3会用Venn数轴进行集合的运算(重点)

1.通过补集的运算培养数学运算素养

2借助集合思想对实际生活中的对象进行判断归类培养数学抽象素养.



1全集

(1)定义:如果一个集合含有所研究问题中涉及的所有元素那么就称这个集合为全集

(2)记法:全集通常记作U.

思考:全集一定是实数集R吗?

提示全集是一个相对概念因研究问题的不同而变化如在实数范围内解不等式全集为实数集R而在整数范围内解不等式则全集为整数集Z.

2补集

文字语言

对于一个集合A由全集U不属于集合A的所有元素组成的集合称为集合A相对于全集U的补集记作UA

符号语言

UA{x|xUxA}

图形语言


1已知全集U{0,1,2}UA{2}A()

A{0}B{1}

C  D{0,1}

D[U{0,1,2}UA{2}

A{0,1}故选D.]

2设全集为UM{0,2,4}UM{6}U等于()

A{0,2,4,6}  B{0,2,4}

C{6}  D

A[M{0,2,4}UM{6}

UMUM{0,2,4,6}故选A.]

3若集合A{x|x>1}RA________.

{x|x1}[A{x|x>1}

RA{x|x1}]


,

补集的运算


【例1】 (1)已知全集为U集合A{1,3,5,7}UA{2,4,6}UB{1,4,6}则集合B________

(2)已知全集U{x|x5}集合A{x|3x<5}UA________.

(1){2,3,5,7}(2){x|x<3x5}[(1)法一(定义法):因为A{1,3,5,7}UA{2,4,6}所以U{1,2,3,4,5,6,7}

UB{1,4,6}

所以B{2,3,5,7}

法二(Venn图法):满足题意的Venn图如图所示


由图可知B{2,3,5,7}

(2)将集合U和集合A分别表示在数轴上如图所示


由补集的定义可知UA{x|x<3x5}]


求集合的补集的方法

(1)定义法:当集合中的元素较少时可利用定义直接求解.

(2)Venn图法:借助Venn图可直观地求出全集及补集.

(3)数轴法:当集合中的元素连续且无限时可借助数轴求解此时需注意端点问题.


1(1)设集合A{xN*|x6}B{2,4}AB等于()

A{2,4}B{0,1,3,5}

C{1,3,5,6}  D{xN*|x6}

(2)已知U{x|x>0}A{x|2x<6}UA______.

(1)C(2){x|0<x<2x6}[(1)因为A{xN*|x6}{1,2,3,4,5,6}B{2,4}所以AB{1,3,5,6}故选C.



(2)如图分别在数轴上表示两集合则由补集的定义可知UA{x|0<x<2x6}]

,

集合交补集的综合运算


【例2】 设全集为RA{x|3x<7}B{x|2<x<10}RBR(AB)(RA)B.

[] 把集合AB在数轴上表示如下:


由图知RB{x|x2x10}AB{x|2<x<10}所以R(AB){x|x2x10}

因为RA{x|x<3x7}

所以(RA)B{x|2<x<37x<10}


解决集合交补运算的技巧

(1)如果所给集合是有限集则先把集合中的元素一一列举出来然后结合交集并集补集的定义来求解.在解答过程中常常借助于Venn图来求解.

(2)如果所给集合是无限集则常借助数轴把已知集合及全集分别表示在数轴上然后进行交补集的运算.解答过程中要注意边界问题.


2全集U{x|x<10xN*}AUBU(UB)A{1,9}AB{3}(UA)(UB){4,6,7}求集合AB.


[] 法一(Venn图法):根据题意作出Venn图如图所示

由图可知A{1,3,9}B{2,3,5,8}

法二(定义法)(UB)A{1,9}(UA)(UB){4,6,7}UB{1,4,6,7,9}

U{1,2,3,4,5,6,7,8,9}

B{2,3,5,8}

(UB)A{1,9}AB{3}

A{1,3,9}

,

与补集有关的参数值的求解


[探究问题]

1AB是全集U的子集(UA)B则集合AB存在怎样的关系?

提示BA.

2AB是全集U的子集(UA)BU则集合AB存在怎样的关系?

提示AB.

【例3 设集合A{x|xm0}B{x|2<x<4}全集UR(UA)B求实数m的取值范围

[思路点拨] 法一

法二

[] 法一(直接法):由A{x|xm0}{x|xm}UA{x|x<m}

因为B{x|2<x<4}(UA)B



所以-m2m2

所以m的取值范围是{m|m2}

法二(集合间的关系):由(UA)B可知BA

B{x|2<x<4}A{x|xm0}{x|xm}

结合数轴:



得-m2m2.


1(变条件)将本例中条件(UA)B改为(UA)BB”,其他条件不变m的取值范围又是什么?

[] 由已知得A{x|xm}所以UA{x|x<m}(UA)BB所以-m4解得m4.

2(变条件)将本例中条件(UA)B改为(UB)AR”,其他条件不变m的取值范围又是什么?

[] 由已知A{x|xm}

UB{x|x2x4}

(UB)AR

所以-m2解得m2.


由集合的补集求解参数的方法

(1)如果所给集合是有限集由补集求参数问题时可利用补集定义并结合知识求解.

(2)如果所给集合是无限集与集合交补运算有关的求参数问题时一般利用数轴分析法求解.


1求某一集合的补集的前提必须明确全集同一集合在不同全集下的补集是不同的

2补集作为一种思想方法为我们研究问题开辟了新思路在正向思维受阻时改用逆向思维如若直接求A困难则使用正难则反策略先求UA再由U(UA)AA.


1思考辨析

(1)全集一定含有任何元素()

(2)集合RAQA.()

(3)一个集合的补集一定含有元素()

[答案](1)×(2)×(3)×

2U{0,1,2,3,4}集合A{1,2,3}B{2,4}(UA)B()

A{1,2,4}B{2,3,4}

C{0,2,3,4}  D{0,2,4}

D[UA{0,4}B{2,4}(UA)B{0,2,4}]

3设集合S{x|x>2}T{x|4x1}(RS)T等于()

A{x|2<x1}  B{x|x4}

C{x|x1}  D{x|x1}

C[因为S{x|x>2}

所以RS{x|x2}

T{x|4x1}

所以(RS)T{x|x2}{x|4x1}{x|x1}]

4已知全集U{2,0,3a2}U的子集P{2a2a2}UP{1}求实数a的值

[] 由已知得-1U且-1P

因此a2-a-2=0,3-a2=-1,

解得a2.

a2U{2,01}

P{2,0}UP{1}满足题意

因此实数a的值为2.


高中生学习推荐:
高中化学(微课+课件+教案+考点)汇总
高中物理(微课+课件+教案+考点)汇总
高中数学(微课+课件+教案+练习题)汇总
高中地理(必修+选修)微课精讲+考点汇总
部编高中语文必修上册思维导图汇总下载
部编高中语文必修下册思维导图汇总下载


图文来自网络,版权归原作者,如有不妥,告知即删

点击阅读原文下载全册PPT课件动画教案习题整套资料

语文数学英语物理化学生物史地政治道德与法治美术音乐科学全部课程 ↓知识点:一、并集1、自然语言:一般地,由所有属于集合A或属于集合B的元素组成的集合,称为集合A与集合B的并集,记作AUB,读作“A并B”。2、符号语言:3、图形语言(用Venn图表示并集):图中阴影部分表示两个集合的并集。4、对并集的理解(1)求两个集合的并集是集合的一种运算,结果仍是一个集合,它是由属于集合A或集合B的元素组成的。(2)并集概念中的“或”指的是只要满足其中一个条件即可,符号语言“x∈A,或x ∈B”分为三种情况:①x∈A,但x∉B;②x∉A,但x∈B;③x∈A,且x∈B。(3)根据集合元素的互异性,在求两个集合的并集时,两个集合中的公共元素在并集中只能出现一次。5、并集的性质6、求并集的方法(1)求两个有限集的并集――按照并集的定义进行计算,但要特别注意集合元素的互异性。(2)求两个无限集的并集,借助于数轴进行计算,注意两个集合的并集等于这两个集合在数轴上对应的图形所覆盖的全部范围。二、交集1、自然语言:一般地,由属于集合A且属于集合B的所有元素组成的集合,称为集合A与集合B的交集,记作A∩B,读作“A交B&#34;。2、符号语言:3、图形语言:(用Venn图表示交集)图中阴影部分表示两个集合的并集。4、对交集的理解(1)求两个集合的交集是集合的一种运算,结果仍是一个集合,它是由属于集合A且属于集合B的所有元素组成的集合,及两个集合的公共元素所组成的集合。(2)交集概念中的“所有”二字不能省略,否则会漏掉一些元素,一定要将两个集合中的相同元素(公共元素)全部找出来。(3)当集合A与集合B没有公共元素时,不能说集合4与集合B没有交集,而是交集为空集。5、交集的性质6、求交集的方法(1)求两个有限集的交集旳按照交集的定义进行计算,但要特别注意一定要找出两个集合中的所有公共元素。(2)求两个无限集的交集,借助于数轴进行计算,两个集合的解集等于这两个集合在数轴上对应的图形所覆盖的公共范围。三、全集与补集1、全集:一般地,如果一个集合含有我们所研究问题中涉及的所有元素,那么就称这个集合为全集,记作U。2、补集:对于一个集合A,由全集U中不属于A的所有元素组成的集合称为集合A相对于全集U的补集,简称集合A的补集,记作CuA,即用Venn图表示为:3、对补集的理解(1)补集是相对于全集而言的,求一个集合的补集,结果因全集的不同而不同,所以求补集前,要先明确全集。(2)补集既是集合间的一种关系,同时也是集合之间的一种运算。(3)符号“CuA&#34;有三层意思:补集的性质:四、德·摩根定律集合运算中的两个重要等式,即德·摩根定律(图解)。视频教学:练习:1.【2015吉林三模】设全集U=N*,A={2,3,6,8,9},B={x|x>3,x∈N*},则图中阴影部分所表示的集合是(  )    A.{2}  B.{2,3} C.{1,2,3}  D.{6,8,9} 【答案】B 【解析】A∩B={6,8,9},所以图中阴影部分所表示的集合是{2,3},故选B. 2.【2015高考四川,理1】设集合A={x|(x+1)(x-2)<0},集合B={x|1<x<3},则A∪B=(  )  A.{x|-1<x<3}  B.{x|-1<x<1}  C.{x|1<x<2}   D.{x|2<x<3} 【答案】A 【解析】A={x|-1<x<2},B={x|1<x<3},∴A∪B={x|-1<x<3},故选A. 3.集合,B={y|y=2x+1,x∈R},则CR(A∩B)=(  )  A.(-∞,1]  B. (-∞,1)  C. (0,1]  D. [0,1] 【答案】A 【解析】     B={y|y=2x+1,x∈R}=(1,+∞)   ∴A∩B=(1,+∞),CR(A∩B)=(-∞,1],故选A. 4.已知集合A={x|x>1},B={x|x<m},且A∪B=R,那么m的值可以是(  )  A.-1  B.0  C.1   D.2 【答案】D 【解析】∵A∪B=R,A={x|x>1}∴B={x|x<m}要包含所有的小于等于1的实数,因此m>1,故选D. 5.若集合M={x|x2+x-6=0},N={x|ax-1=0},且N∪M=M,则实数a的值为________. 【答案】0或-1/3或1/2 【解析】   M={x|x2+x-6=0}={-3,2},由题意   当a=0时,;   当a≠0时,N={1/a},要使,则1/a=-3或2,解得a=-1/3或1/2.  综上所述,实数a的值是-1/3或1/2或0. 课件:教案:学 习 目 标核 心 素 养1.了解全集的含义及其符号表示.(易混点)2.理解给定集合中一个子集的补集的含义,并会求给定子集的补集.(重点、难点)3.会用Venn图、数轴进行集合的运算.(重点)1.通过补集的运算培养数学运算素养.2.借助集合思想对实际生活中的对象进行判断归类,培养数学抽象素养.1.全集(1)定义:如果一个集合含有所研究问题中涉及的所有元素,那么就称这个集合为全集.(2)记法:全集通常记作U.思考:全集一定是实数集R吗?提示:全集是一个相对概念,因研究问题的不同而变化,如在实数范围内解不等式,全集为实数集R,而在整数范围内解不等式,则全集为整数集Z.2.补集文字语言对于一个集合A,由全集U中不属于集合A的所有元素组成的集合称为集合A相对于全集U的补集,记作∁UA符号语言∁UA={x|x∈U,且x∉A}图形语言1.已知全集U={0,1,2},且∁UA={2},则A=()A.{0}B.{1}C.∅  D.{0,1}D[∵U={0,1,2},∁UA={2},∴A={0,1},故选D.]2.设全集为U,M={0,2,4},∁UM={6},则U等于()A.{0,2,4,6}  B.{0,2,4}C.{6}  D.∅A[∵M={0,2,4},∁UM={6},∴U=M∪∁UM={0,2,4,6},故选A.]3.若集合A={x|x&gt;1},则∁RA=________.{x|x≤1}[∵A={x|x&gt;1},∴∁RA={x|x≤1}.],补集的运算【例1】 (1)已知全集为U,集合A={1,3,5,7},∁UA={2,4,6},∁UB={1,4,6},则集合B=________;(2)已知全集U={x|x≤5},集合A={x|-3≤x&lt;5},则∁UA=________.(1){2,3,5,7}(2){x|x&lt;-3或x=5}[(1)法一(定义法):因为A={1,3,5,7},∁UA={2,4,6},所以U={1,2,3,4,5,6,7}.又∁UB={1,4,6},所以B={2,3,5,7}.法二(Venn图法):满足题意的Venn图如图所示.由图可知B={2,3,5,7}.(2)将集合U和集合A分别表示在数轴上,如图所示.由补集的定义可知∁UA={x|x&lt;-3或x=5}.]求集合的补集的方法(1)定义法:当集合中的元素较少时,可利用定义直接求解.(2)Venn图法:借助Venn图可直观地求出全集及补集.(3)数轴法:当集合中的元素连续且无限时,可借助数轴求解,此时需注意端点问题.1.(1)设集合A={x∈N*|x≤6},B={2,4},则∁AB等于()A.{2,4}B.{0,1,3,5}C.{1,3,5,6}  D.{x∈N*|x≤6}(2)已知U={x|x&gt;0},A={x|2≤x&lt;6},则∁UA=______.(1)C(2){x|0&lt;x&lt;2,或x≥6}[(1)因为A={x∈N*|x≤6}={1,2,3,4,5,6},B={2,4},所以∁AB={1,3,5,6}.故选C.(2)如图,分别在数轴上表示两集合,则由补集的定义可知,∁UA={x|0&lt;x&lt;2,或x≥6}.],集合交、并、补集的综合运算【例2】 设全集为R,A={x|3≤x&lt;7},B={x|2&lt;x&lt;10},求∁RB,∁R(A∪B)及(∁RA)∩B.[解] 把集合A,B在数轴上表示如下:由图知∁RB={x|x≤2,或x≥10},A∪B={x|2&lt;x&lt;10},所以∁R(A∪B)={x|x≤2,或x≥10}.因为∁RA={x|x&lt;3,或x≥7},所以(∁RA)∩B={x|2&lt;x&lt;3,或7≤x&lt;10}.解决集合交、并、补运算的技巧(1)如果所给集合是有限集,则先把集合中的元素一一列举出来,然后结合交集、并集、补集的定义来求解.在解答过程中常常借助于Venn图来求解.(2)如果所给集合是无限集,则常借助数轴,把已知集合及全集分别表示在数轴上,然后进行交、并、补集的运算.解答过程中要注意边界问题.2.全集U={x|x&lt;10,x∈N*},A⊆U,B⊆U,(∁UB)∩A={1,9},A∩B={3},(∁UA)∩(∁UB)={4,6,7},求集合A,B.[解] 法一(Venn图法):根据题意作出Venn图如图所示.由图可知A={1,3,9},B={2,3,5,8}.法二(定义法):(∁UB)∩A={1,9},(∁UA)∩(∁UB)={4,6,7},∴∁UB={1,4,6,7,9}.又U={1,2,3,4,5,6,7,8,9},∴B={2,3,5,8}.∵(∁UB)∩A={1,9},A∩B={3},∴A={1,3,9}.,与补集有关的参数值的求解[探究问题]1.若A,B是全集U的子集,且(∁UA)∩B=∅,则集合A,B存在怎样的关系?提示:B⊆A.2.若A,B是全集U的子集,且(∁UA)∪B=U,则集合A,B存在怎样的关系?提示:A⊆B.【例3】 设集合A={x|x+m≥0},B={x|-2&lt;x&lt;4},全集U=R,且(∁UA)∩B=∅,求实数m的取值范围.[思路点拨] 法一:法二:[解] 法一(直接法):由A={x|x+m≥0}={x|x≥-m},得∁UA={x|x&lt;-m}.因为B={x|-2&lt;x&lt;4},(∁UA)∩B=∅,所以-m≤-2,即m≥2,所以m的取值范围是{m|m≥2}.法二(集合间的关系):由(∁UA)∩B=∅可知B⊆A,又B={x|-2&lt;x&lt;4},A={x|x+m≥0}={x|x≥-m},结合数轴:得-m≤-2,即m≥2.1.(变条件)将本例中条件“(∁UA)∩B=∅”改为“(∁UA)∩B=B”,其他条件不变,则m的取值范围又是什么?[解] 由已知得A={x|x≥-m},所以∁UA={x|x&lt;-m},又(∁UA)∩B=B,所以-m≥4,解得m≤-4.2.(变条件)将本例中条件“(∁UA)∩B=∅”改为“(∁UB)∪A=R”,其他条件不变,则m的取值范围又是什么?[解] 由已知A={x|x≥-m},∁UB={x|x≤-2或x≥4}.又(∁UB)∪A=R,所以-m≤-2,解得m≥2.由集合的补集求解参数的方法(1)如果所给集合是有限集,由补集求参数问题时,可利用补集定义并结合知识求解.(2)如果所给集合是无限集,与集合交、并、补运算有关的求参数问题时,一般利用数轴分析法求解.1.求某一集合的补集的前提必须明确全集,同一集合在不同全集下的补集是不同的.2.补集作为一种思想方法,为我们研究问题开辟了新思路,在正向思维受阻时,改用逆向思维,如若直接求A困难,则使用“正难则反”策略,先求∁UA,再由∁U(∁UA)=A求A.1.思考辨析(1)全集一定含有任何元素.()(2)集合∁RA=∁QA.()(3)一个集合的补集一定含有元素.()[答案](1)×(2)×(3)×2.U={0,1,2,3,4},集合A={1,2,3},B={2,4},则(∁UA)∪B为()A.{1,2,4}B.{2,3,4}C.{0,2,3,4}  D.{0,2,4}D[∵∁UA={0,4},B={2,4},∴(∁UA)∪B={0,2,4}.]3.设集合S={x|x&gt;-2},T={x|-4≤x≤1},则(∁RS)∪T等于()A.{x|-2&lt;x≤1}  B.{x|x≤-4}C.{x|x≤1}  D.{x|x≥1}C[因为S={x|x&gt;-2},所以∁RS={x|x≤-2}.而T={x|-4≤x≤1},所以(∁RS)∪T={x|x≤-2}∪{x|-4≤x≤1}={x|x≤1}.]4.已知全集U={2,0,3-a2},U的子集P={2,a2-a-2},∁UP={-1},求实数a的值.[解] 由已知,得-1∈U,且-1∉P,因此a2-a-2=0,3-a2=-1,解得a=2.当a=2时,U={2,0,-1},P={2,0},∁UP={-1},满足题意.因此实数a的值为2.高中生学习推荐:高中化学(微课+课件+教案+考点)汇总高中物理(微课+课件+教案+考点)汇总高中数学(微课+课件+教案+练习题)汇总高中地理(必修+选修)微课精讲+考点汇总部编高中语文必修上册思维导图汇总下载部编高中语文必修下册思维导图汇总下载图文来自网络,版权归原作者,如有不妥,告知即删点击阅读原文下载全册PPT课件动画教案习题整套资料

APP观看

扫码安装,或者点击这里


.

1→ 统编教材配套课外阅读书籍

2→ 难懂的数学概念一眼看明白