建议使用浏览器Chrome, QQ浏览器
登录/注册
首页 目录 资料 实验室 电子课本 人教版 苏教版 鄂教版 留言反馈 排行榜 课件下载
【知识点】北师大版九年级数学(上)册知识点 |可下载 2021-07-09 23:03:23

点击上面图片进入新学期课程预习!
 
各科同步辅导,微课视频|知识点,更多的精彩资源,请关注“中小学师生”
关注公众号后,每天自动接收同步资源。方法1:本文最底部按住二维图片不松识别关注二微码;2、点击公众号文章标题下的蓝字(公众号名称),点开后再点关注。

下载电子版请拉到文末

下载电子版请拉到文末

下载电子版请拉到文末


【预习】北师大版数学九年级(全)册图文微课+课件教案
【 电子课本】北师大版九年级数学(上)册高清

北师大版九年级数学(上)册知识点


第一章 特殊平行四边形

1、菱形的性质与判定


①菱形的定义:

一组邻边相等的平行四边形叫做菱形。


②菱形的性质:

  • 具有平行四边形的性质,且四条边都相等,两条对角线互相垂直平分,每一条对角线平分一组对角。

  • 菱形是轴对称图形,每条对角线所在的直线都是对称轴。


③菱形的判别方法:

  • 一组邻边相等的平行四边形是菱形。

  • 对角线互相垂直的平行四边形是菱形。

  • 四条边都相等的四边形是菱形。


2、矩形的性质与判定


①矩形的定义:

有一个角是直角的平行四边形叫矩形。矩形是特殊的平行四边形。


矩形的性质:

具有平行四边形的性质,且对角线相等,四个角都是直角。(矩形是轴对称图形,有两条对称轴)


③矩形的判定:

  • 有一个内角是直角的平行四边形叫矩形(根据定义)。

  • 对角线相等的平行四边形是矩形。

  • 四个角都相等的四边形是矩形。


④推论:直角三角形斜边上的中线等于斜边的一半。


3、正方形的性质与判定


正方形的定义:

一组邻边相等的矩形叫做正方形。


正方形的性质:

正方形具有平行四边形、矩形、菱形的一切性质。(正方形是轴对称图形,有两条对称轴)


正方形常用的判定:

  • 有一个内角是直角的菱形是正方形;

  • 邻边相等的矩形是正方形;

  • 对角线相等的菱形是正方形;

  • 对角线互相垂直的矩形是正方形。


④正方形、矩形、菱形和平行边形四者之间的关系


⑤梯形定义:

  • 一组对边平行且另一组对边不平行的四边形叫做梯形。

  • 两条腰相等的梯形叫做等腰梯形。

  • 一条腰和底垂直的梯形叫做直角梯形。


⑥等腰梯形的性质:

  • 等腰梯形同一底上的两个内角相等,对角线相等。

  • 同一底上的两个内角相等的梯形是等腰梯形。

  • 三角形的中位线平行于第三边,并且等于第三边的一半。

  • 夹在两条平行线间的平行线段相等。

  • 在直角三角形中,斜边上的中线等于斜边的一半

 



第二章  一元二次方程

1、认识一元二次方程

  • 只含有一个未知数的整式方程,且都可以化为ax2+bx+c=0

(a、b、c为常数,a≠0)的形式,这样的方程叫一元二次方程。


  • ax2+bx+c=0(a、b、c为常数,a≠0)称为一元二次方程的一般形式,a为二次项系数;b为一次项系数;c为常数项。


2、用配方法求解一元二次方程

配方法 <即将其变为(x+m)2=0的形式>

配方法解一元二次方程的基本步骤:

  • 把方程化成一元二次方程的一般形式;

  • 将二次项系数化成1;

  • 把常数项移到方程的右边;

  • 两边加上一次项系数的一半的平方;

  • 把方程转化成的形式;

  • 两边开方求其根。


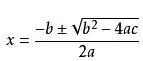
3、用公式法求解一元二次方程


公式法 (注意在找abc时须先把方程化为一般形式)


4、用因式分解法求解一元二次方程


③分解因式法  

把方程的一边变成0,另一边变成两个一次因式的乘积来求解。(主要包括“提公因式”和“十字相乘”)


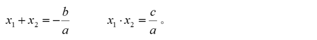
5、一元二次方程的根与系数的关系


根与系数的关系:


当b2-4ac>0时,方程有两个不等的实数根;

当b2-4ac=0时,方程有两个相等的实数根;

当b2-4ac<0时,方程无实数根。


如果一元二次方程 ax2+bx+c=0 的两根分别为x1x2,则有:



一元二次方程的根与系数的关系的作用:


  • 已知方程的一根,求另一根;

  • 不解方程,求二次方程的根x1x2的对称式的值,特别注意以下公式:


  • 已知方程的两根x1x2,可以构造一元二次方程:

    x2-(x1+x2x+x1x2=0



  • 已知两数x1x2的和与积,求此两数的问题,可以转化为求一元二次方程x2-(x1+x2x+x1x2=0的根



6、应用一元二次方程


在利用方程来解应用题时,主要分为两个步骤:

  • 设未知数(在设未知数时,大多数情况只要设问题为x;但也有时也须根据已知条件及等量关系等诸多方面考虑);

  • 寻找等量关系(一般地,题目中会含有一表述等量关系的句子,只须找到此句话即可根据其列出方程)。



处理问题的过程可以进一步概括为:


                                                   


第三章  图形的相似


1、成比例线段


线段的比

  • 如果选用同一个长度单位量得两条线段AB, CD的长度分别是m、n,那么就说这两条线段的比AB:CD=m:n,或写成


  • 四条线段a、b、c、d中,如果a与b的比等于c与d的比,即


  • 那么这四条线段a、b、c、d叫做比例线段,简称比例线段.


注意点:

  • a:b=k,说明a是b的k倍

  • 由于线段  a、b的长度都是正数,所以k是正数

  • 比与所选线段的长度单位无关,求出时两条线段的长度单位要一致

  • 除了a=b之外,a:b≠b:a

  • 比例的基本性质:若


  • 则ad=bc; 若ad=bc, 则


2、平行线分线段成比例


平行线分线段成比例定理:三条平行线截两条直线,所得的对应线段成比例.如图2, l1 // l2 // l3 ,则




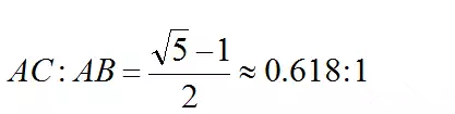
3. 黄金分割

如图1,点C把线段AB分成两条线段AC和BC,如果


那么称线段AB被点C黄金分割,点C叫做线段AB的黄金分割点,AC与AB的比叫做黄金比. 


黄金分割点是最优美、最令人赏心悦目的点.


4.相似多边形

  含义:

  • 一般地,形状相同的图形称为相似图形.

  • 对应角相等、对应边成比例的两个多边形叫做相似多边形.相似多边形对应边的比叫做相似比.


注意点:

  • 在相似多边形中,最为简单的就是相似三角形.

  • 对应角相等、对应边成比例的三角形叫做相似三角形.相似三角形对应边的比叫做相似比.

  • 全等三角形是相似三角的特例,这时相似比等于1.

    注意:证两个相似三角形,与证两个全等三角形一样,应把表示对应顶点的字母写在对应的位置上.

  • 相似三角形对应高的比,对应中线的比与对应角平分线的比都等于相似比.

  • 相似三角形周长的比等于相似比. 

  • 相似三角形面积的比等于相似比的平方.

  • 相似多边形的周长等于相似比;面积比等于相似比的平方.


5、探索三角形相似的条件

 相似三角形的判定方法:



平行于三角形一边的直线与其他两边(或两边的延长线)相交,所构成的三角形与原三角形相似。


相似三角形的判定定理的证明


④利用相似三角形测高         


⑤相似三角形的性质       


⑥图形的位似

                                                    

第四章 投影与视图

1、三视图 

 主视图——从正面看到的图 

左视图——从左面看到的图 

俯视图——从上面看到的图 


画物体的三视图时,要符合如下原则:大小:长对正,高平齐,宽相等.


虚实:在画图时,看的见部分的轮廓通常画成实线,看不见部分的轮廓线通常画成虚线. 


2、投影 

物体在光线的照射下,会在地面或墙壁上留下它的影子,这就是投影现象. 

太阳光线可以看成平行光线,像这样的光线所形成的投影称为平行投影。 

在同一时刻,物体高度与影子长度成比例. 

物体的三视图实际上就是该物体在某一平行光线(垂直于投影面的平行光线)下的平行投影. 

探照灯,手电筒,路灯,和台灯的光线可以看成是从一点出发的光线,像这样的光线所形成的投影称

为中心投影 

皮影和手影都是在灯光照射下形成的影子.它们是中心投影。


3、视点、视线、盲区的定义以及在生活中的应用

眼睛所在的位置称为视点,

由视点发出的光线称为视线,

眼睛看不到的地方称为盲区



第五章 反比例函数

1、反比例函数的定义 




2、用待定系数法求反比例函数的解析式

由于反比例函数


只有一个待定系数,因此,只要一组对应值,就可以求出k的值,从而确定反比例函数的表达式。


3、反比例函数的图像及画法

  • 反比例函数的图像是双曲线,它有两个分支,这两个分支分别位于第一、第三象限或第二、第四象限,它们与原点对称,由于反比例函数中自变量函数中

  • 所以它的图像与x轴、y轴都没有交点,即双曲线的两个分支无限接近坐标轴,但永远达不到坐标轴。

  • 反比例的画法分三个步骤:⑴列表;⑵描点;⑶连线。

  • 再作反比例函数的图像时应注意以下几点:

①列表时选取的数值宜对称选取;

②列表时选取的数值越多,画的图像越精确;

③连线时,必须根据自变量大小从左至右(或从右至左)用光滑的曲线连接,切忌画成折线;

④画图像时,它的两个分支应全部画出,但切忌将图像与坐标轴相交。


4、反比例函数的性质

关于反比例函数的性质,主要研究它的图像的位置及函数值的增减情况,如下表:

                                                     



第六章 概率的进一步认识

用树状图或表格求概率


相关知识点链接:


频数与频率

  • 频数:在数据统计中,每个对象出现的次数叫做频数,

  • 频率:每个对象出现的次数与总次数的比值为频率。


概率的意义和大小:

  概率就是表示每件事情发生的可能性大小,即一个时间发生的可能性大小的数值。必然事件发生的概率为1;不可能事件发生的概率为0;不确定事件发生的概率在0与1之间。


【知识点1】频率与概率的含义


在试验中,每个对象出现的频繁程度不同,我们称每个对象出现的次数为频数,而每个对象出现的次数与总次数的比值为频率,即



把刻画事件A发生的可能性大小的数值,称为事件A发生的概率。



【知识点2】通过实验运用稳定的频率来估计某一时间的概率


在进行试验的时候,当试验的次数很大时,某个事件发生的频率稳定在相应的概率附近。


我们可以通过多次试验,用一个事件发生的频率来估计这一事件发生的频率。


知识点3】利用画树状图或列表法求概率(重难点)

此份资料非常齐全

建议各位家长都领取一份给孩子打印



往期资料推荐



1-9年级(上下册)各科目电子课本

7~9年级语文(上下)全册图文视频

7~9年级数学(上下册)图文视频(各版本)

7~9年级英语(上下)全册图文微课(各版本)

1-9年级英语基础音标+口语发音教程

7-9年级道德与法治(上下)全册图文

7-9年级历史(上下)全册图文微课

8~9年级物理(上下)册图文视频

7~8年级地理(上下)全册图文微课

7~8年级生物(上下)全册图文微课

9年级 化学(上下)册图文微课

1~9年级 美术(下)册全册微课

1~9年级各科目全册教案汇编

1-9中小学班主任工作包汇总(2568份班会课件)


领取方法1


第一步:长按二维码关注中小学师生

第二步:在公众号对话框输入30下载


领取方法2

打不开百度网盘链接的地区

可长按扫码直接进入下载


电脑端下载网址

http://jazpan.com/box/696.html

图文来自网络,版权归原作者,如有不妥,告知即删

点击阅读原文下载全册PPT课件教案习题朗读试卷电子课本等资源

点击上面图片进入新学期课程预习! 各科同步辅导,微课视频|知识点,更多的精彩资源,请关注“中小学师生”关注公众号后,每天自动接收同步资源。方法1:本文最底部按住二维图片不松识别关注二微码;2、点击公众号文章标题下的蓝字(公众号名称),点开后再点关注。下载电子版请拉到文末下载电子版请拉到文末下载电子版请拉到文末【预习】北师大版数学九年级(全)册图文微课+课件教案【 电子课本】北师大版九年级数学(上)册高清北师大版九年级数学(上)册知识点第一章 特殊平行四边形1、菱形的性质与判定①菱形的定义:一组邻边相等的平行四边形叫做菱形。②菱形的性质:具有平行四边形的性质,且四条边都相等,两条对角线互相垂直平分,每一条对角线平分一组对角。菱形是轴对称图形,每条对角线所在的直线都是对称轴。③菱形的判别方法:一组邻边相等的平行四边形是菱形。对角线互相垂直的平行四边形是菱形。四条边都相等的四边形是菱形。2、矩形的性质与判定①矩形的定义:有一个角是直角的平行四边形叫矩形。矩形是特殊的平行四边形。②矩形的性质:具有平行四边形的性质,且对角线相等,四个角都是直角。(矩形是轴对称图形,有两条对称轴)③矩形的判定:有一个内角是直角的平行四边形叫矩形(根据定义)。对角线相等的平行四边形是矩形。四个角都相等的四边形是矩形。④推论:直角三角形斜边上的中线等于斜边的一半。3、正方形的性质与判定①正方形的定义:一组邻边相等的矩形叫做正方形。②正方形的性质:正方形具有平行四边形、矩形、菱形的一切性质。(正方形是轴对称图形,有两条对称轴)③正方形常用的判定:有一个内角是直角的菱形是正方形;邻边相等的矩形是正方形;对角线相等的菱形是正方形;对角线互相垂直的矩形是正方形。④正方形、矩形、菱形和平行边形四者之间的关系⑤梯形定义:一组对边平行且另一组对边不平行的四边形叫做梯形。两条腰相等的梯形叫做等腰梯形。一条腰和底垂直的梯形叫做直角梯形。⑥等腰梯形的性质:等腰梯形同一底上的两个内角相等,对角线相等。同一底上的两个内角相等的梯形是等腰梯形。三角形的中位线平行于第三边,并且等于第三边的一半。夹在两条平行线间的平行线段相等。在直角三角形中,斜边上的中线等于斜边的一半 第二章  一元二次方程1、认识一元二次方程只含有一个未知数的整式方程,且都可以化为ax2+bx+c=0(a、b、c为常数,a≠0)的形式,这样的方程叫一元二次方程。把ax2+bx+c=0(a、b、c为常数,a≠0)称为一元二次方程的一般形式,a为二次项系数;b为一次项系数;c为常数项。2、用配方法求解一元二次方程①配方法 &lt;即将其变为(x+m)2=0的形式&gt;配方法解一元二次方程的基本步骤:把方程化成一元二次方程的一般形式;将二次项系数化成1;把常数项移到方程的右边;两边加上一次项系数的一半的平方;把方程转化成的形式;两边开方求其根。3、用公式法求解一元二次方程②公式法 (注意在找abc时须先把方程化为一般形式)4、用因式分解法求解一元二次方程③分解因式法  把方程的一边变成0,另一边变成两个一次因式的乘积来求解。(主要包括“提公因式”和“十字相乘”)5、一元二次方程的根与系数的关系①根与系数的关系:当b2-4ac&gt;0时,方程有两个不等的实数根;当b2-4ac=0时,方程有两个相等的实数根;当b2-4ac&lt;0时,方程无实数根。②如果一元二次方程 ax2+bx+c=0 的两根分别为x1、x2,则有:③一元二次方程的根与系数的关系的作用:已知方程的一根,求另一根;不解方程,求二次方程的根x1、x2的对称式的值,特别注意以下公式:已知方程的两根x1、x2,可以构造一元二次方程: x2-(x1+x2)x+x1x2=0已知两数x1、x2的和与积,求此两数的问题,可以转化为求一元二次方程x2-(x1+x2)x+x1x2=0的根6、应用一元二次方程①在利用方程来解应用题时,主要分为两个步骤:设未知数(在设未知数时,大多数情况只要设问题为x;但也有时也须根据已知条件及等量关系等诸多方面考虑);寻找等量关系(一般地,题目中会含有一表述等量关系的句子,只须找到此句话即可根据其列出方程)。②处理问题的过程可以进一步概括为:                                                   第三章  图形的相似1、成比例线段①线段的比如果选用同一个长度单位量得两条线段AB, CD的长度分别是m、n,那么就说这两条线段的比AB:CD=m:n,或写成四条线段a、b、c、d中,如果a与b的比等于c与d的比,即那么这四条线段a、b、c、d叫做成比例线段,简称比例线段.②注意点:a:b=k,说明a是b的k倍由于线段  a、b的长度都是正数,所以k是正数比与所选线段的长度单位无关,求出时两条线段的长度单位要一致除了a=b之外,a:b≠b:a比例的基本性质:若则ad=bc; 若ad=bc, 则2、平行线分线段成比例平行线分线段成比例定理:三条平行线截两条直线,所得的对应线段成比例.如图2, l1 // l2 // l3 ,则3. 黄金分割如图1,点C把线段AB分成两条线段AC和BC,如果那么称线段AB被点C黄金分割,点C叫做线段AB的黄金分割点,AC与AB的比叫做黄金比. 黄金分割点是最优美、最令人赏心悦目的点.4.相似多边形 ① 含义:一般地,形状相同的图形称为相似图形.对应角相等、对应边成比例的两个多边形叫做相似多边形.相似多边形对应边的比叫做相似比.②注意点:在相似多边形中,最为简单的就是相似三角形.对应角相等、对应边成比例的三角形叫做相似三角形.相似三角形对应边的比叫做相似比.全等三角形是相似三角的特例,这时相似比等于1.注意:证两个相似三角形,与证两个全等三角形一样,应把表示对应顶点的字母写在对应的位置上.相似三角形对应高的比,对应中线的比与对应角平分线的比都等于相似比.相似三角形周长的比等于相似比. 相似三角形面积的比等于相似比的平方.相似多边形的周长等于相似比;面积比等于相似比的平方.5、探索三角形相似的条件 ①相似三角形的判定方法:②平行于三角形一边的直线与其他两边(或两边的延长线)相交,所构成的三角形与原三角形相似。③相似三角形的判定定理的证明④利用相似三角形测高         ⑤相似三角形的性质       ⑥图形的位似                                                    第四章 投影与视图1、三视图 ① 主视图——从正面看到的图 左视图——从左面看到的图 俯视图——从上面看到的图 ②画物体的三视图时,要符合如下原则:大小:长对正,高平齐,宽相等.③虚实:在画图时,看的见部分的轮廓通常画成实线,看不见部分的轮廓线通常画成虚线. 2、投影 ① 物体在光线的照射下,会在地面或墙壁上留下它的影子,这就是投影现象. ②太阳光线可以看成平行光线,像这样的光线所形成的投影称为平行投影。 ③在同一时刻,物体高度与影子长度成比例. ④物体的三视图实际上就是该物体在某一平行光线(垂直于投影面的平行光线)下的平行投影. ⑤探照灯,手电筒,路灯,和台灯的光线可以看成是从一点出发的光线,像这样的光线所形成的投影称为中心投影 ⑥皮影和手影都是在灯光照射下形成的影子.它们是中心投影。3、视点、视线、盲区的定义以及在生活中的应用①眼睛所在的位置称为视点,②由视点发出的光线称为视线,③眼睛看不到的地方称为盲区第五章 反比例函数1、反比例函数的定义 2、用待定系数法求反比例函数的解析式由于反比例函数只有一个待定系数,因此,只要一组对应值,就可以求出k的值,从而确定反比例函数的表达式。3、反比例函数的图像及画法反比例函数的图像是双曲线,它有两个分支,这两个分支分别位于第一、第三象限或第二、第四象限,它们与原点对称,由于反比例函数中自变量函数中所以它的图像与x轴、y轴都没有交点,即双曲线的两个分支无限接近坐标轴,但永远达不到坐标轴。反比例的画法分三个步骤:⑴列表;⑵描点;⑶连线。再作反比例函数的图像时应注意以下几点:①列表时选取的数值宜对称选取;②列表时选取的数值越多,画的图像越精确;③连线时,必须根据自变量大小从左至右(或从右至左)用光滑的曲线连接,切忌画成折线;④画图像时,它的两个分支应全部画出,但切忌将图像与坐标轴相交。4、反比例函数的性质关于反比例函数的性质,主要研究它的图像的位置及函数值的增减情况,如下表:                                                     第六章 概率的进一步认识用树状图或表格求概率相关知识点链接:①频数与频率频数:在数据统计中,每个对象出现的次数叫做频数,频率:每个对象出现的次数与总次数的比值为频率。②概率的意义和大小:  概率就是表示每件事情发生的可能性大小,即一个时间发生的可能性大小的数值。必然事件发生的概率为1;不可能事件发生的概率为0;不确定事件发生的概率在0与1之间。【知识点1】频率与概率的含义在试验中,每个对象出现的频繁程度不同,我们称每个对象出现的次数为频数,而每个对象出现的次数与总次数的比值为频率,即把刻画事件A发生的可能性大小的数值,称为事件A发生的概率。【知识点2】通过实验运用稳定的频率来估计某一时间的概率在进行试验的时候,当试验的次数很大时,某个事件发生的频率稳定在相应的概率附近。我们可以通过多次试验,用一个事件发生的频率来估计这一事件发生的频率。【知识点3】利用画树状图或列表法求概率(重难点)此份资料非常齐全建议各位家长都领取一份给孩子打印往期资料推荐1-9年级(上下册)各科目电子课本7~9年级语文(上下)全册图文视频7~9年级数学(上下册)图文视频(各版本)7~9年级英语(上下)全册图文微课(各版本)1-9年级英语基础音标+口语发音教程7-9年级道德与法治(上下)全册图文7-9年级历史(上下)全册图文微课8~9年级物理(上下)册图文视频7~8年级地理(上下)全册图文微课7~8年级生物(上下)全册图文微课9年级 化学(上下)册图文微课1~9年级 美术(下)册全册微课1~9年级各科目全册教案汇编1-9中小学班主任工作包汇总(2568份班会课件)领取方法1第一步:长按二维码关注中小学师生第二步:在公众号对话框输入“30”下载领取方法2▼打不开百度网盘链接的地区可长按扫码直接进入下载▼▼电脑端下载网址http://jazpan.com/box/696.html▼图文来自网络,版权归原作者,如有不妥,告知即删点击阅读原文下载全册PPT课件教案习题朗读试卷电子课本等资源

APP观看

扫码安装,或者点击这里


.

1→ 统编教材配套课外阅读书籍

2→ 难懂的数学概念一眼看明白